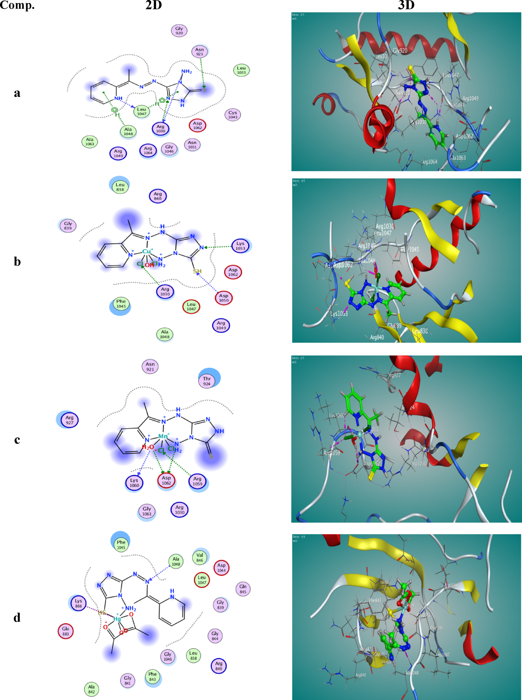
Fig. 15

2D and 3D binding poses obtained from docking studies between )a) H2TAP ligand, (b) [Cu(H2TAP)(H2O)(Cl2)]·H2O, (c) [Mn(H2TAP)(H2O)(Cl2)]·H2O and (d) [Hg(H2TAP)(OAc)2]·2H2O complexes with human hepatocellular cancer with (PDB: 1YWN).

2D and 3D binding poses obtained from docking studies between )a) H2TAP ligand, (b) [Cu(H2TAP)(H2O)(Cl2)]·H2O, (c) [Mn(H2TAP)(H2O)(Cl2)]·H2O and (d) [Hg(H2TAP)(OAc)2]·2H2O complexes with human hepatocellular cancer with (PDB: 1YWN).