Fig. 9
From: Investigation of the CO2 adsorption isotherms on activated carbon by statistical physics treatment

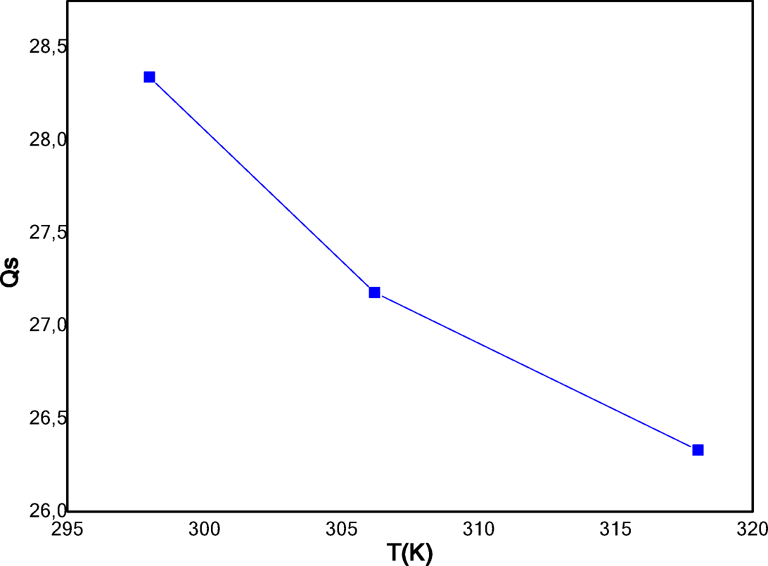
Variation in carbon dioxide adsorption capacity at saturation versus the temperature.
From: Investigation of the CO2 adsorption isotherms on activated carbon by statistical physics treatment

Variation in carbon dioxide adsorption capacity at saturation versus the temperature.