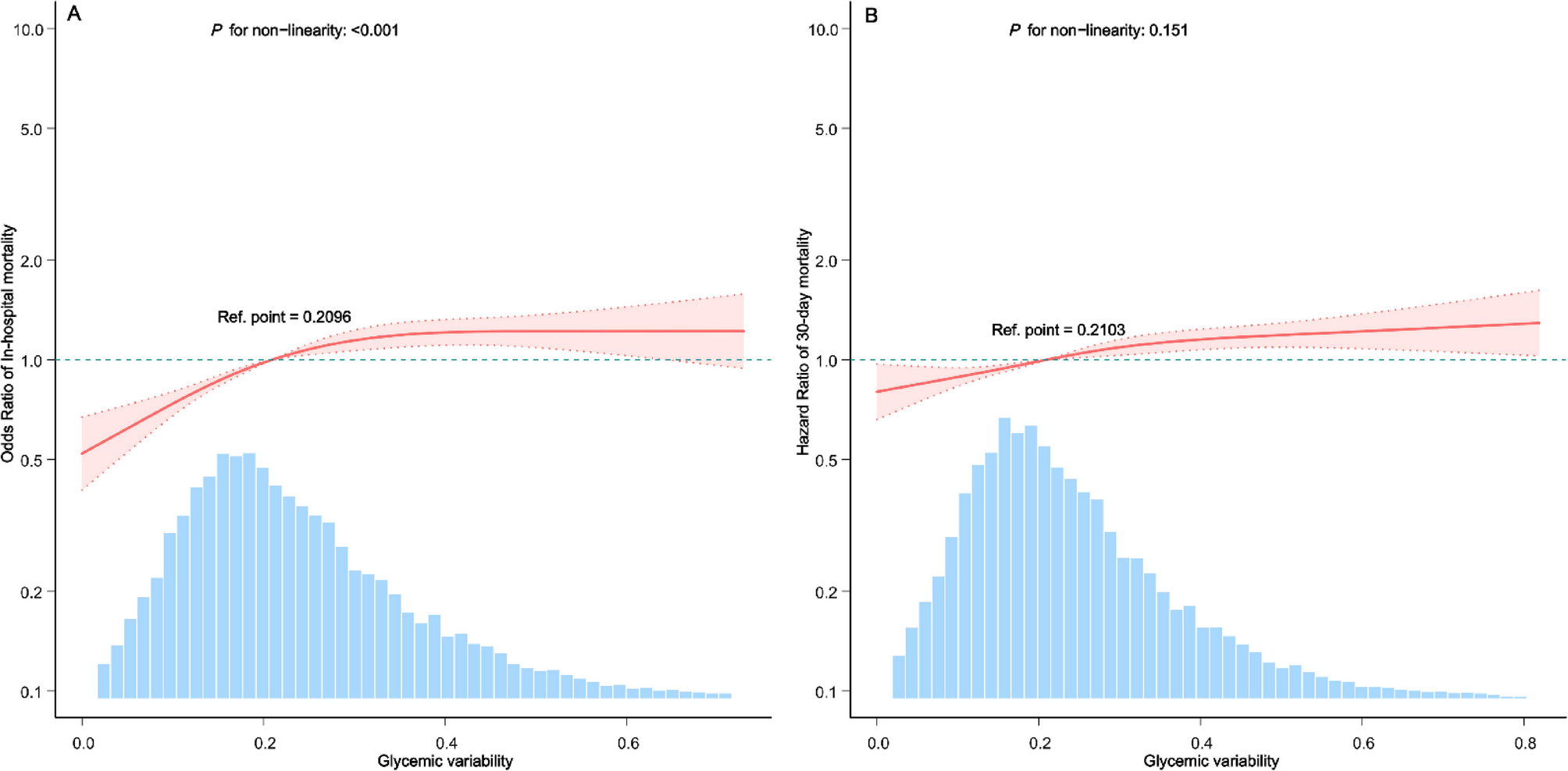
Fig. 3
From: Association between glycemic variability and mortality in critically ill patients with heart failure

Dose-response relationship between glycemic variability and in-hospital(A) and 30-day(B) mortality in patients with heart failure. Note: adjusted for covariates included in demographics, vital signs, comorbidities, laboratory tests and treatments.