Fig. 7
From: Energy-efficient design of CNTFET-based quaternary arithmetic circuits

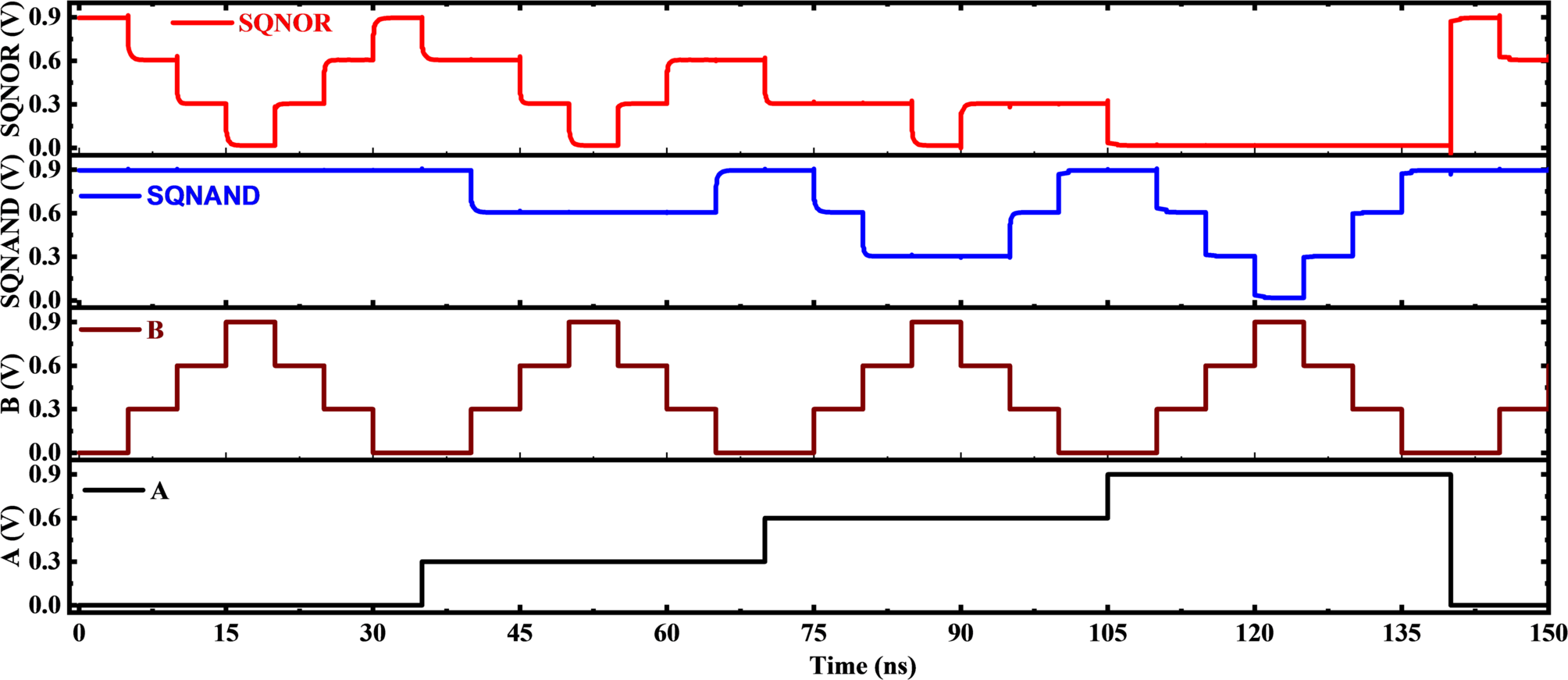
Transient response of the proposed SQNAND and SQNOR.
From: Energy-efficient design of CNTFET-based quaternary arithmetic circuits

Transient response of the proposed SQNAND and SQNOR.