Figure 7
From: YOLO-GL for efficient multi-target detection in large FOV via hierarchical feature fusion

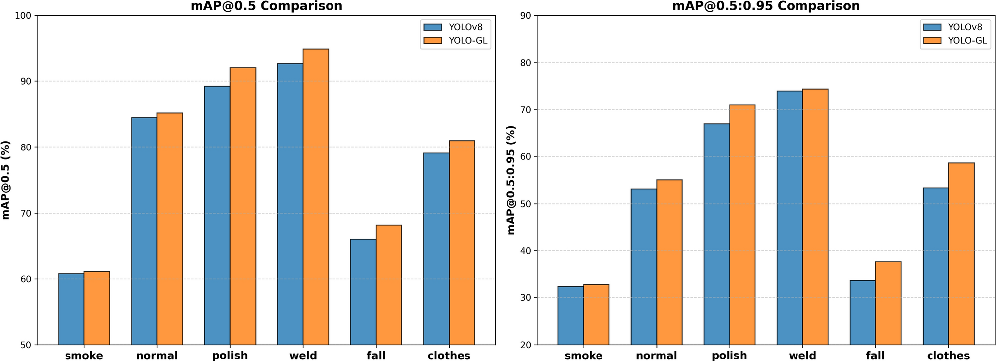
Presents the comparison of mAP50 and recall rates for six target categories–smoke, normal, polish, weld, fall and clothes–with the YOLOv8n model.