Fig. 4
From: A social network graph partitioning algorithm based on double deep Q-Network

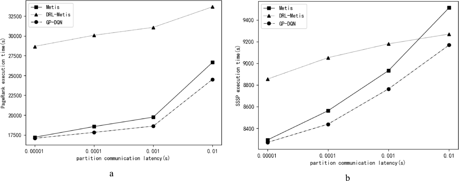
(a) Running Time of PageRank. (b) Running Time of SSSP.
From: A social network graph partitioning algorithm based on double deep Q-Network

(a) Running Time of PageRank. (b) Running Time of SSSP.