Fig. 11
From: Techno-economic optimization of renewable hydrogen infrastructure via AI-based dynamic pricing

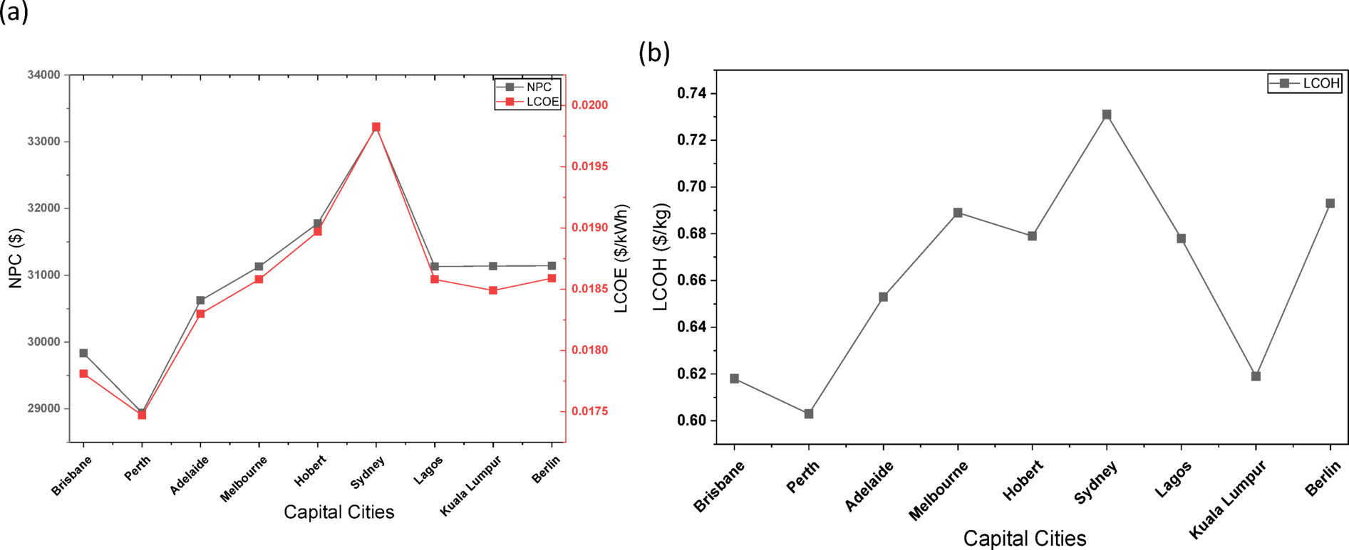
NPC, LCOE, and LCOH across the capital cities in Oman and validation with other three countries cities.
From: Techno-economic optimization of renewable hydrogen infrastructure via AI-based dynamic pricing

NPC, LCOE, and LCOH across the capital cities in Oman and validation with other three countries cities.