Fig. 6
From: Ternary atomized Hollow carbon spheres for high-performance symmetric supercapacitors

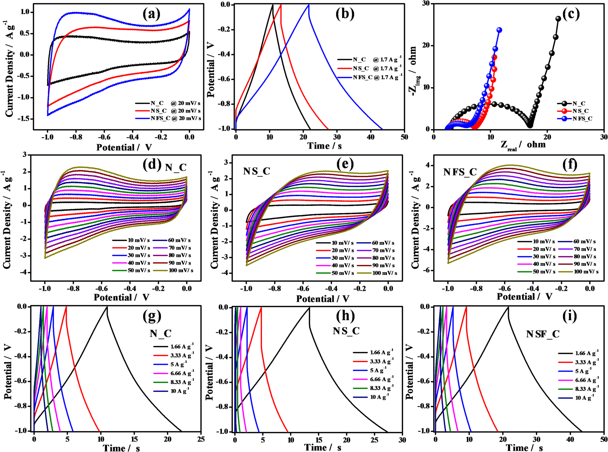
a Electrochemical half-cell analysis: a CV comparison of N_C, NS_C, NSF_C electrodes at 20 mV s−1 scan rate. b GCD of N_C, NS_C, NSF_C electrodes merely at 1.7 A g−1 current density; c EIS comparison of N_C, NS_C, NSF_C electrodes at the frequency ranging from 100 kHz to 100 mHz; d CV of N_C electrode at 10–100 mV s−1 scan rates; e CV of NS_C electrode at 10–100 mV s−1 scan rates; f CV of NSF_C electrode at 10–100 mV s−1 scan rates; g GCD of N_C 1.66, 3.33, 5, 6.66, 8.33, and 10 A g−1 current densities. h GCD of NS_C at 1.66, 3.33, 5, 6.66, 8.33, and 10 A g−1 current densities. i GCD of NFS_C electrode at 1.66, 3.33, 5, 6.66, 8.33, and 10 A g−1 current densities tested at a potential window of -1 to 0 V.