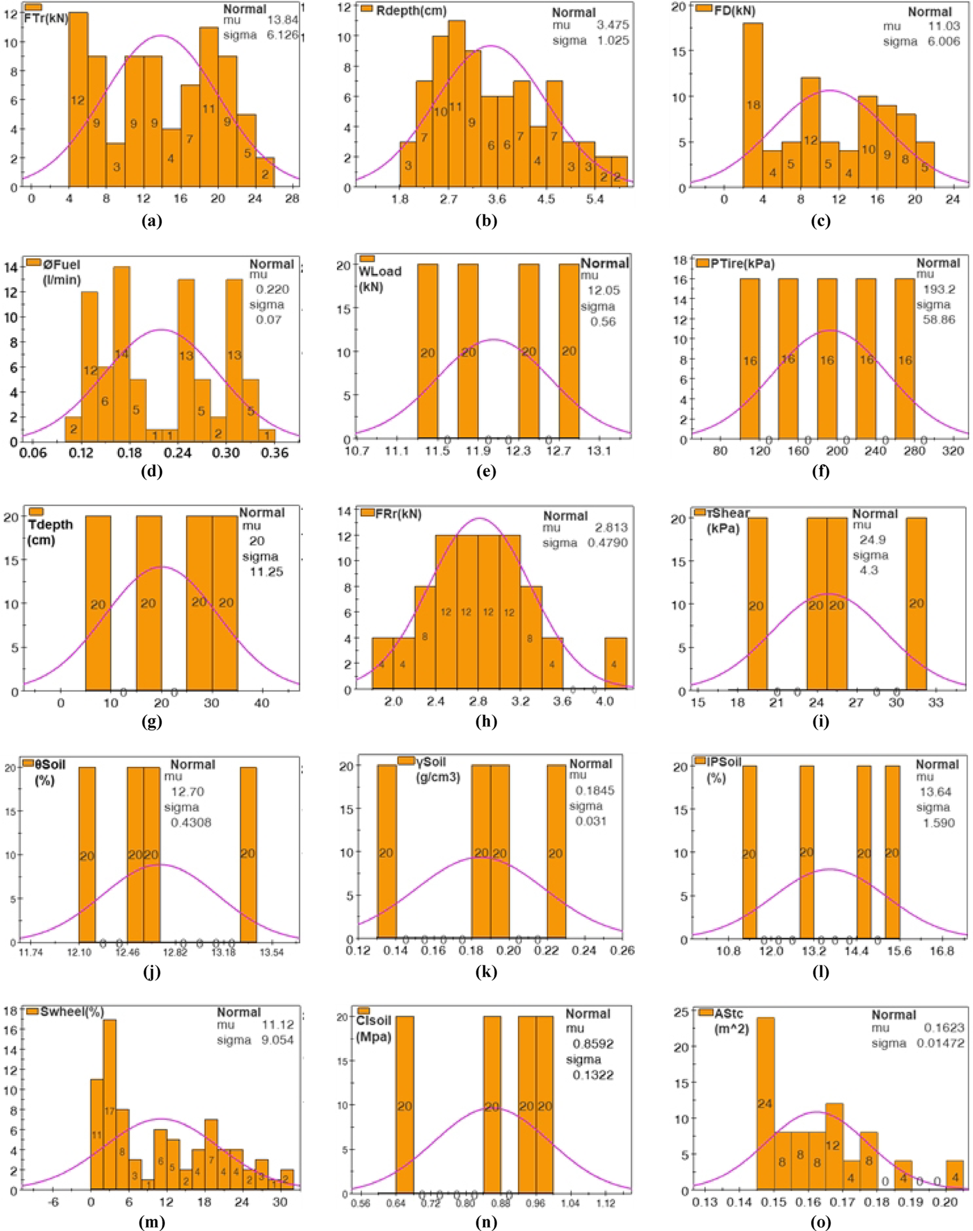
Fig. 3

Illustration of frequency distribution curves for (a) FTr and its neurocognitive variables, (b) Rdepth, (c) FD, (d) ØFuel, (e) Wload, (f) PTire, (g) Tdeth, (h) FRr, (i) τShear, (j) θSoil, (k) γSoil, (l) IPSoil, (m) SWheel, (n) CIsoil, (o) AStc.