Fig. 6
From: Structural, electronic and thermodynamic properties of triatomic borate-terminated MXene surfaces

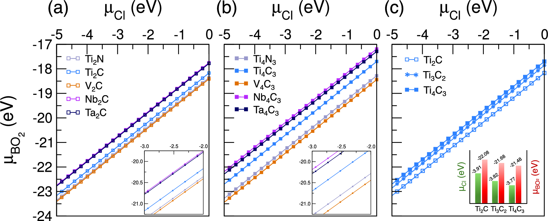
Adsorption free energy boundary (\(\Delta \text {H}_{ads}^{\text {Cl}}\) = \(\Delta \text {H}_{ads}^{\text {BO}_{2}}\)) for different (a) M\(_{2}\)X, (b) M\(_{4}\)X\(_{3}\), and (c) Ti-based MXenes dictated by the chemical potentials of their terminating functional groups. The inset bar chart in (c) displays the specific lower chemical potential limits for Ti-based MXenes, which increase (move towards richer Cl or BO\(_{2}\) regions) when increasing the MXene family order.