Fig. 6
From: Classifying polish in use-wear analysis with convolutional neural networks

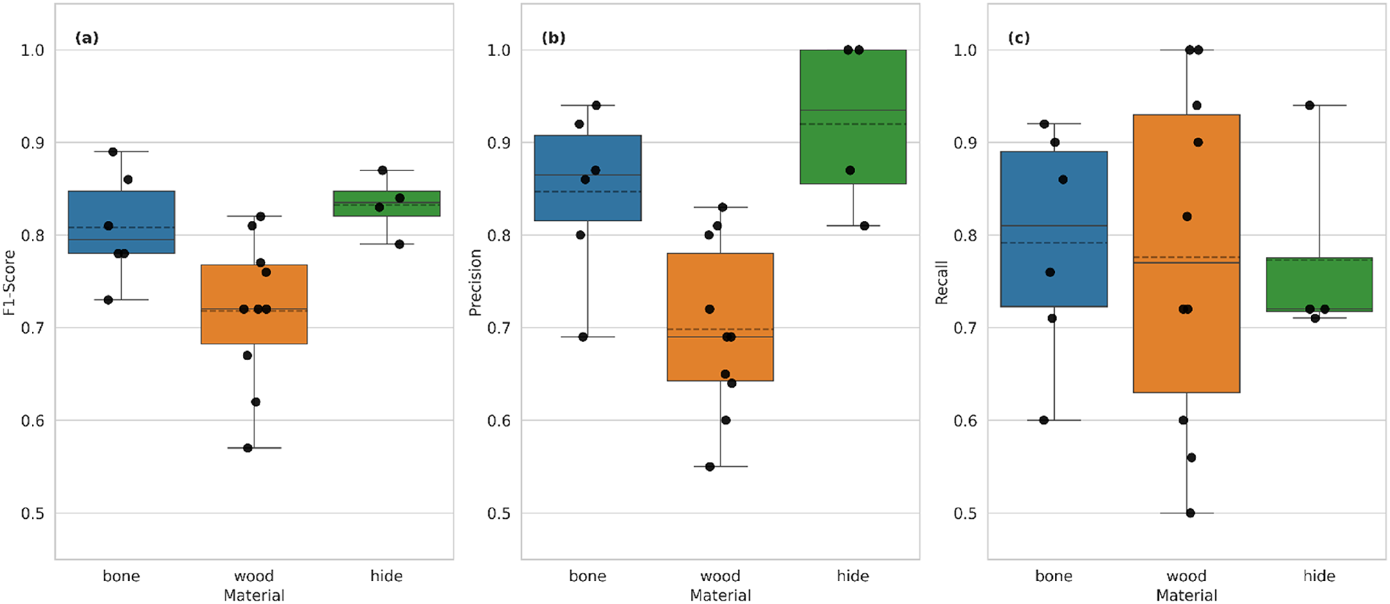
Boxplot comparing the F1-score, precision, and recall values of all CNN models for hide (green), bone (blue), and wood (orange). Data points representing the exact values are overlaid on the plot. The solid line within each box denotes the median, while the dashed line represents the mean value.