Fig. 4
From: Ecological sensitivity assessment and driving force analysis of the Tarim river basin

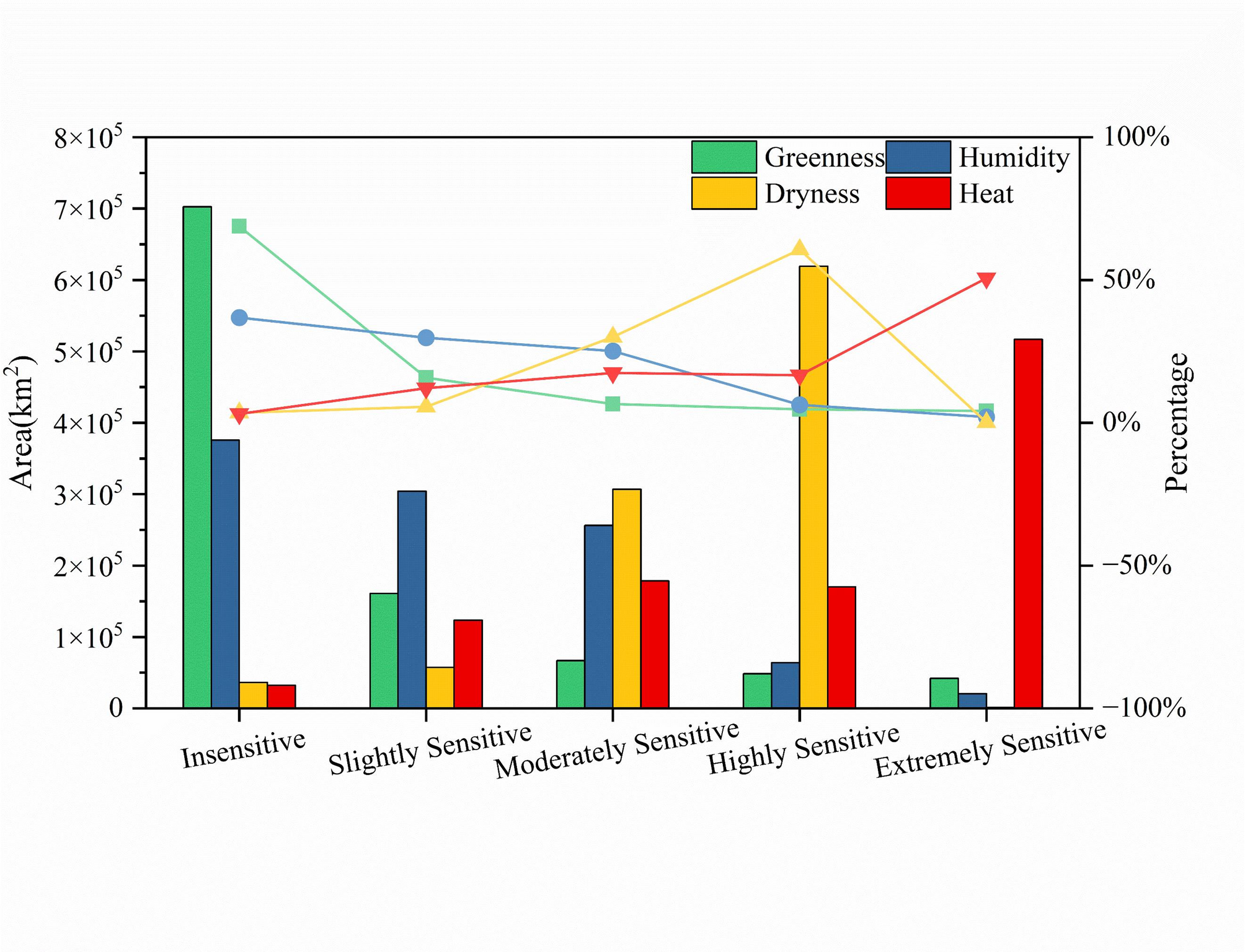
The polarized sensitivity patterns—low greenness and humidity versus high dryness and heat—reflect the interplay between natural drought stress and anthropogenic activities. Desert cores exhibit near-collapse ecological functionality, with dryness sensitivity exceeding 60%, while groundwater overexploitation at oasis margins creates a paradox of localized mitigation amid systemic degradation. The dominance of highly sensitive dryness areas (60.66%) signals the crossing of irreversible desertification thresholds, necessitating prioritized vegetation-based sand fixation and water management. For extreme heat-sensitive zones (50.62%), surface cover modulation, such as drought-tolerant vegetation restoration, is critical to disrupt thermal feedback loops. Methodological robustness is confirmed by a total percentage error below 0.1% across sensitivity categories, supporting spatially targeted governance strategies to guide ecological restoration in arid regions.