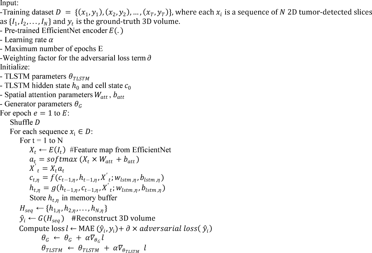
Algorithm 2 | Scientific Reports