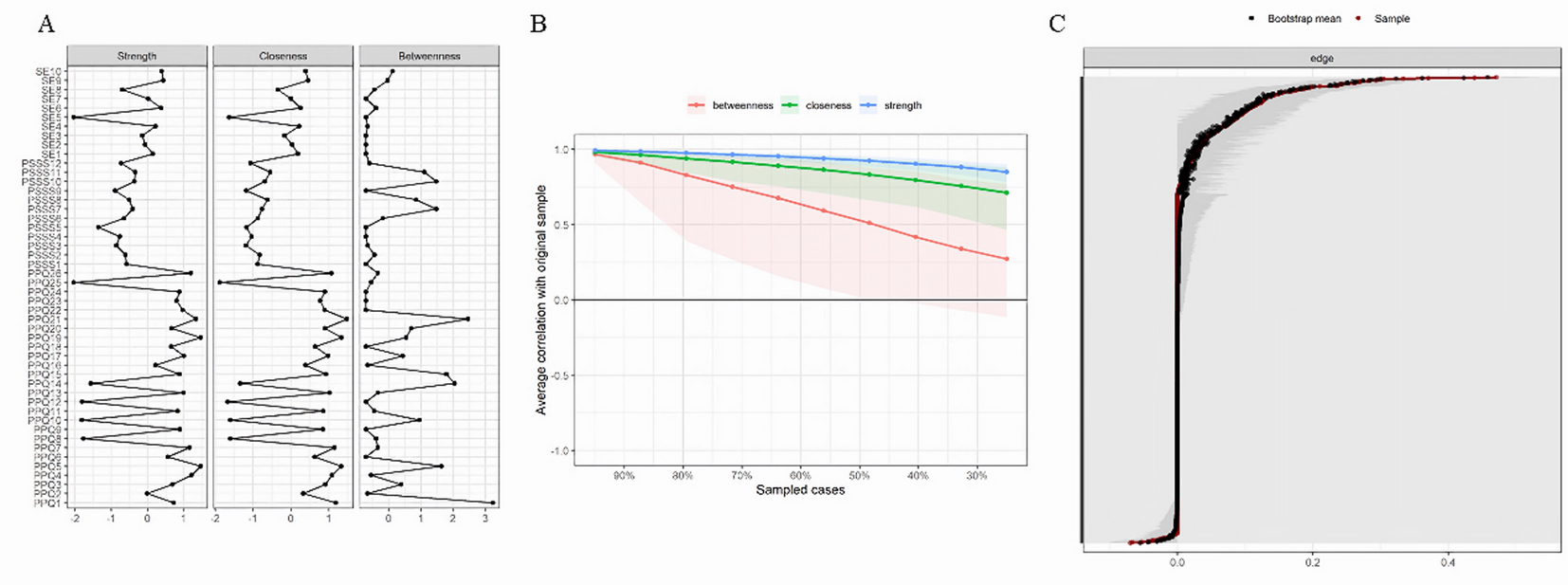
Fig. 2

Network stability and accuracy. A shows the centrality indices of the network nodes, with the vertical axis corresponding to the items of the three variables, and the horizontal axis representing the standard Z-scores. B displays the stability analysis of the network centrality indices, with three colors corresponding to the three centrality measures, and the axes representing stability scores. C illustrates the accuracy of edge weight estimates using Bootstrap testing with a 95% confidence interval (n = 736). The red lines represent guided edge weights and indicate the values of the edges. The gray area represents the 95% confidence interval.