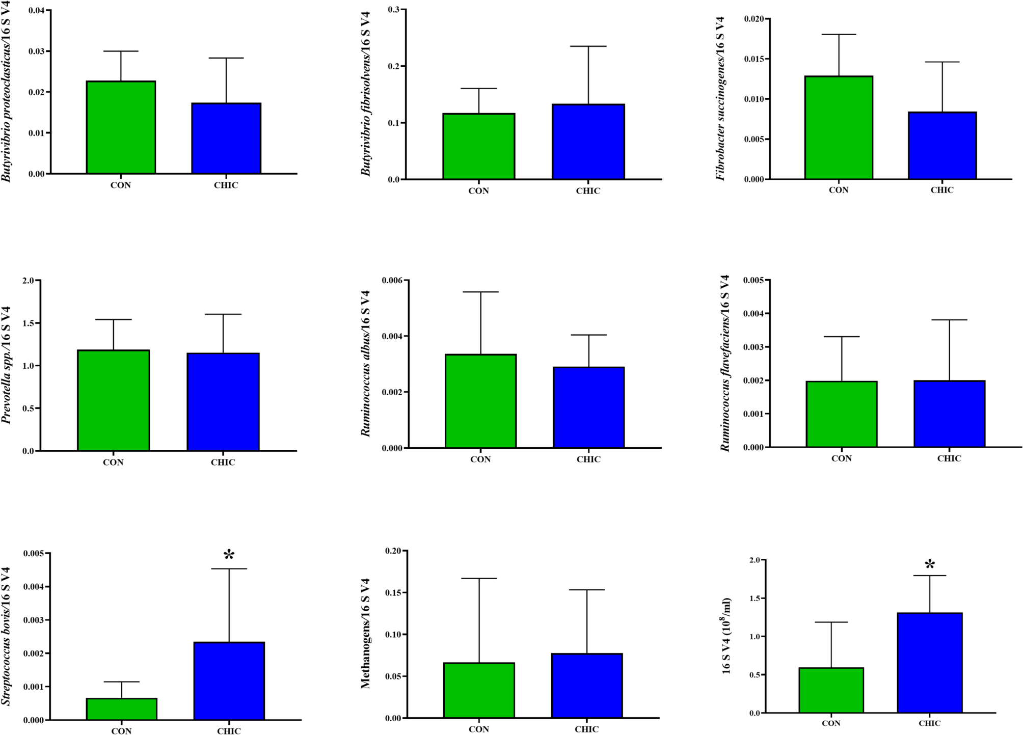
Fig. 1
From: Chicory modulates the rumen environment in lambs with endoparasites

Effect of the control and experimental groups on the relative abundance of the 16 S rRNA gene (expressed relative to the total abundance of bacterial genes) of the ruminal bacterial population for Butyrivibrio proteoclasticus, B. fibrisolvens, Fibrobacter succinogenes, Prevotella spp., Ruminococcus albus, R. flavefaciens, Streptococcus bovis and total methanogens. Data are described as specific gene copy numbers per 16 S rRNA gene copy number ± SD (*P < 0.05).