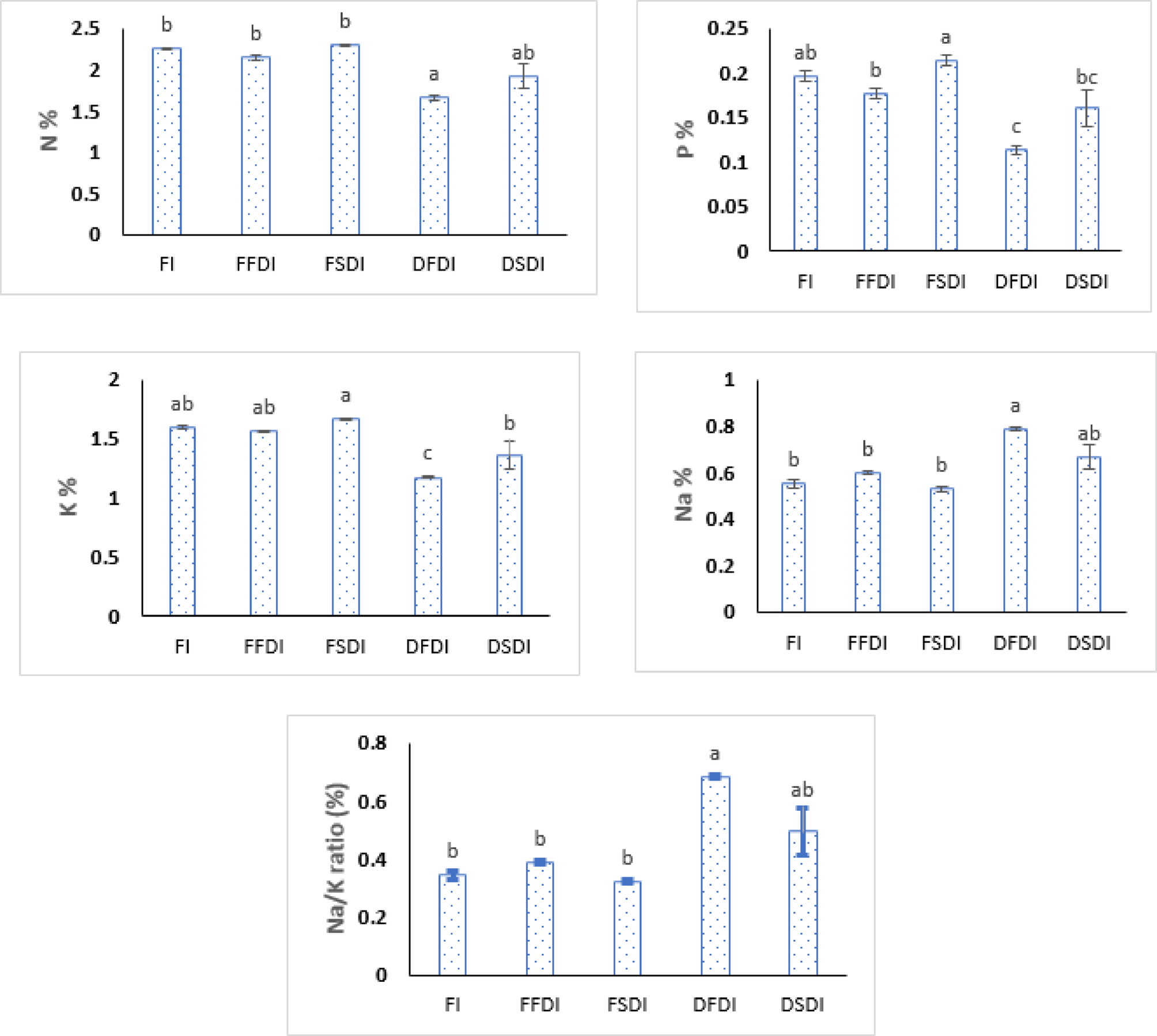
Fig. 7

Effect of Irrigation system and water management strategy on the biological parameters of soil. N: nitrogen; P: phosphorus; K: potassium; Na: sodium; Na/K ratio: the ratio of sodium to potassium. FI: flood irrigation; DFDI: deficit surface drip irrigation; DSDI: deficit sub-surface drip irrigation; FFDI: full surface drip irrigation; FSDI: full sub-surface drip irrigation.