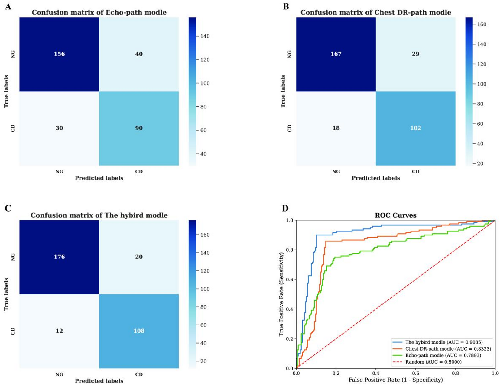
Fig. 4

Performance of multipath system to distinguish CD in the DATA Ⅰ. (A) Confusion matrix of Echo-path model. (B) Confusion matrix of Chest DR-path model. (C) Confusion matrix of the hybrid model. (D) Receiver Operating Characteristic of the hybrid model.