Fig. 1

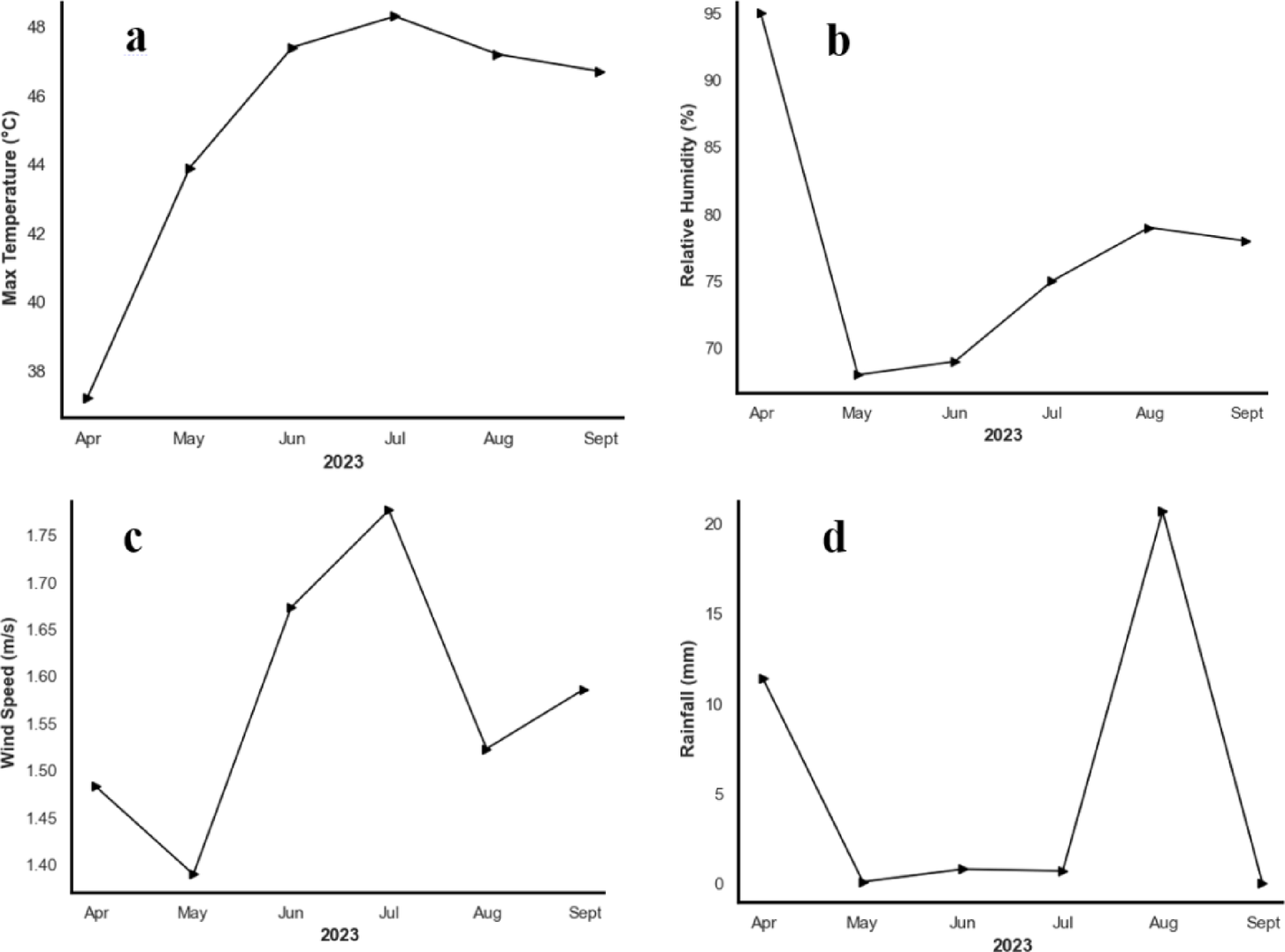
Maximum temperature (a), relative humidity (b), wind speed (c), and monthly rainfall (d) from April to September 2023 at the Weather Station in Anbar Abad, Kerman province, Iran.

Maximum temperature (a), relative humidity (b), wind speed (c), and monthly rainfall (d) from April to September 2023 at the Weather Station in Anbar Abad, Kerman province, Iran.