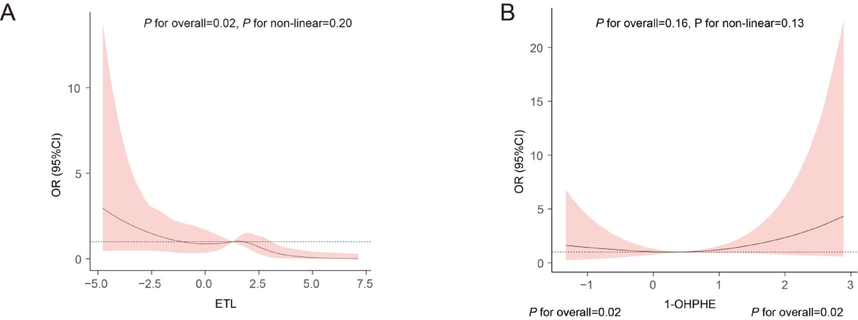
Fig. 4

Dose-response And subgroup Analysis of ENL And 1-OHPHE exposure on endometriosis risk. (A-B) Dose-response relationships between log-transformed urinary ENL (A) And 1-OHPHE (B) levels And endometriosis risk, with the shaded area representing the 95% confidence interval. 1-OHPHE 1-Hydroxyphenanthrene ENL enterolactone OR Odds ratios CI confidence intervals.