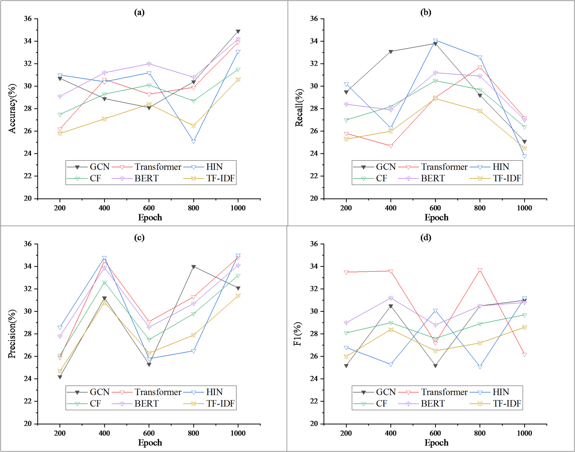
Fig. 4
From: Intelligent deep learning model for recommending ideological and political music education resources

Evaluation results of model recommendation effectiveness.
From: Intelligent deep learning model for recommending ideological and political music education resources

Evaluation results of model recommendation effectiveness.