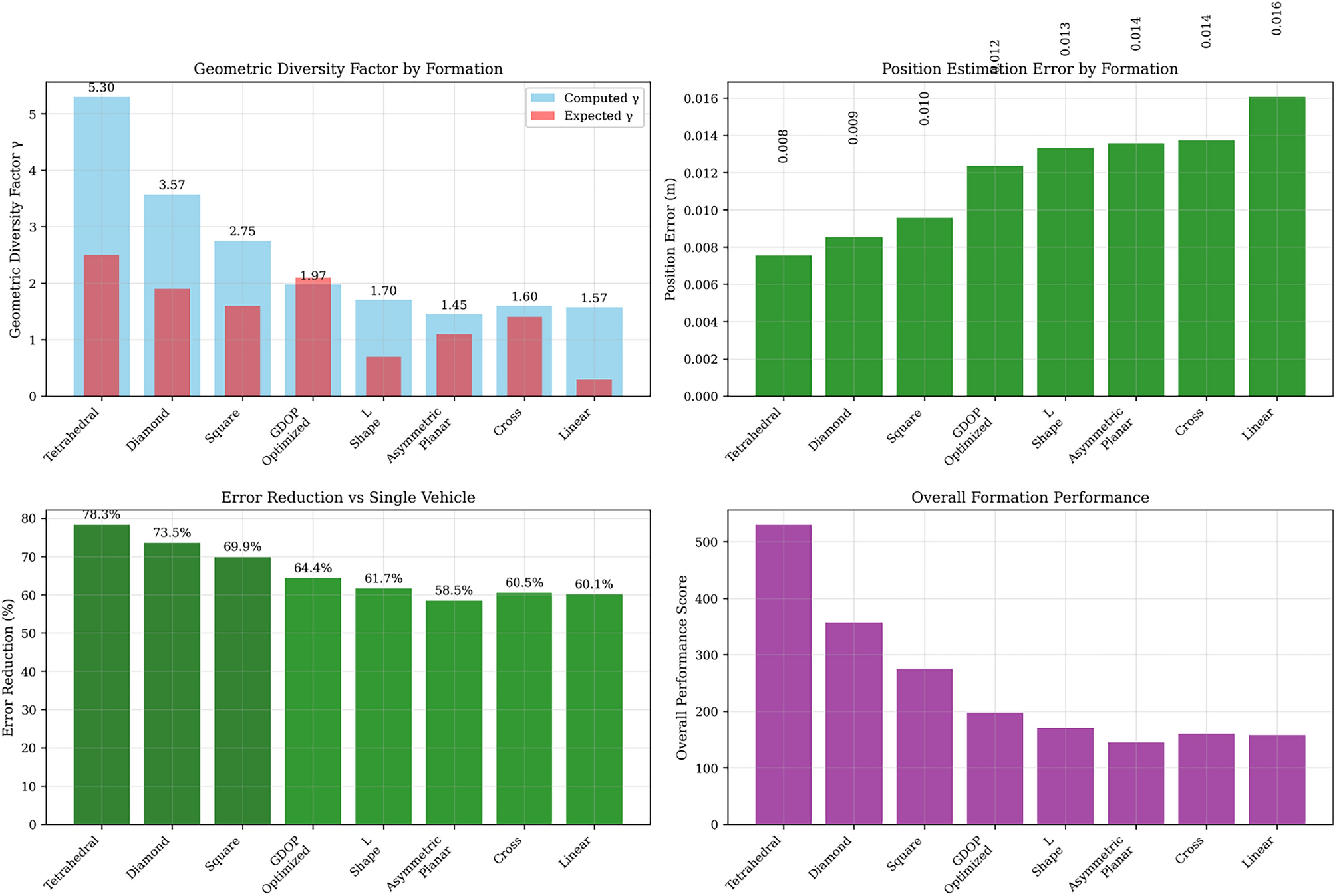
Fig. 11
From: Enhanced projectile path estimation using multi-vehicle FMCW radar sensors

Comprehensive formation performance comparison showing: (a) Geometric diversity factors with theoretical predictions, (b) Position estimation errors, (c) Error reduction vs. single vehicle, and (d) Overall performance scores. Clear performance hierarchy emerges from tetrahedral (optimal) to linear (poor).