Fig. 6

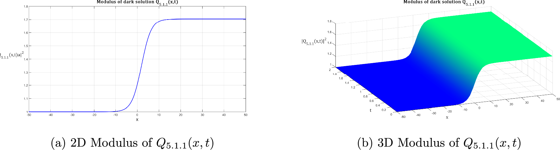
2D and 3D Modulus of dark soliton for Eq. (33) when \(A_0=1;c=1;n=2;\) \(c_2=0.2;c_4=0.6;\) \(b_2=0.8;b_4=-0.2;\pi _0=3;k=2;\) \(\omega =2;\iota _2=0.2;\iota _4=0.2\).

2D and 3D Modulus of dark soliton for Eq. (33) when \(A_0=1;c=1;n=2;\) \(c_2=0.2;c_4=0.6;\) \(b_2=0.8;b_4=-0.2;\pi _0=3;k=2;\) \(\omega =2;\iota _2=0.2;\iota _4=0.2\).