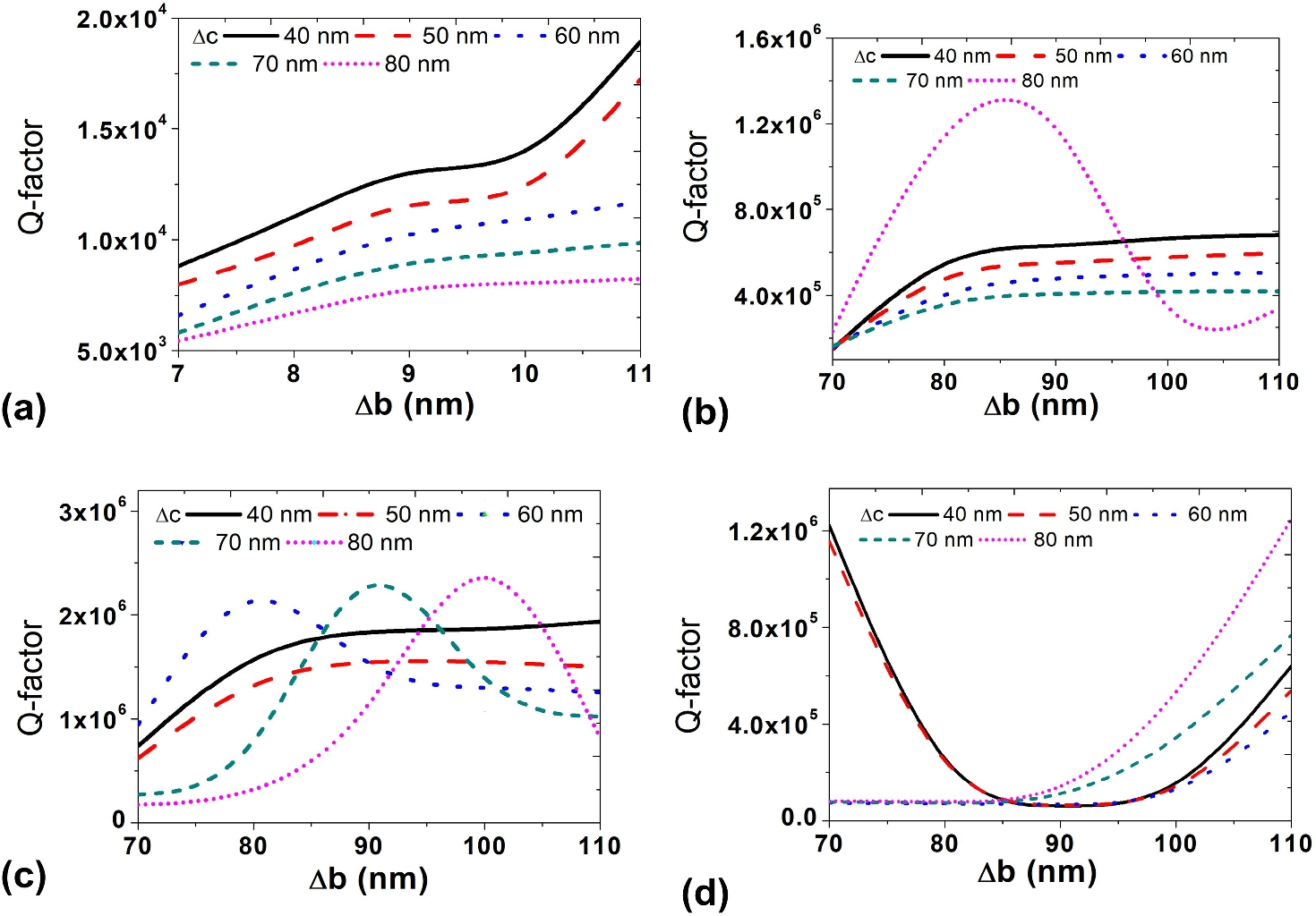
Fig. 3

Variation of Q-factor as a function of \(\mathrm {\Delta }\)b and \(\mathrm {\Delta }\)c for different fixed values of \(\mathrm {\Delta }\)a: (a) \(\mathrm {\Delta }\)a = 150 nm, (b) \(\mathrm {\Delta }\)a = 140 nm, (c) \(\mathrm {\Delta }\)a = 130 nm, and (d) \(\mathrm {\Delta }\)a = 120 nm. These figures demonstrate the interplay between structural displacement parameters and their role in tuning the cavity’s Q-factor. Higher Q-factors are observed at specific combinations of \(\mathrm {\Delta }\)b and \(\mathrm {\Delta }\)c, revealing optimal configurations for light confinement and resonance.