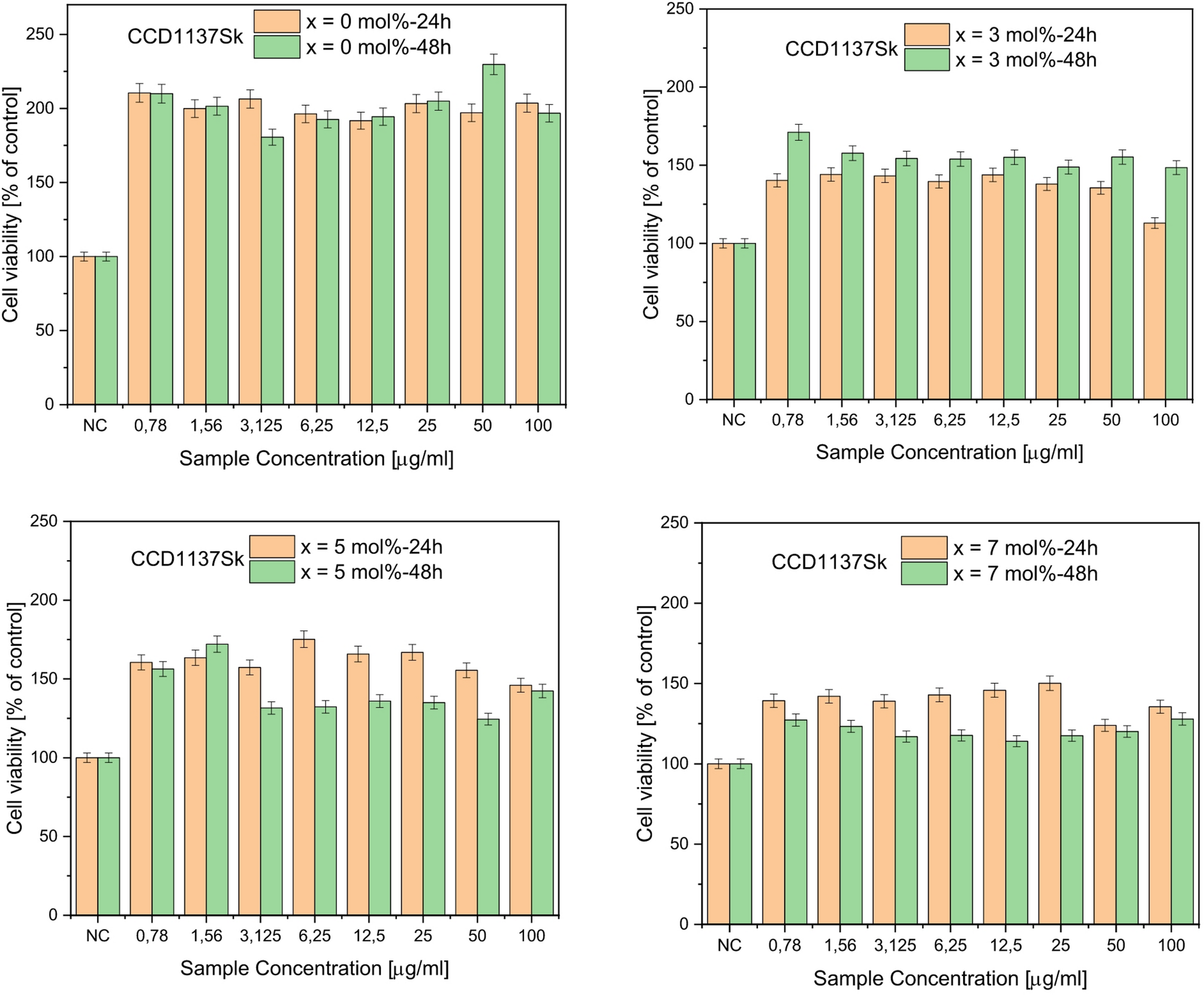
Fig. 8 V

iability of CCD1137Sk cells after 24 and 48 h interaction with different concentration of xRb2O·(100-x)[44P2O5·25CaO·21Na2O·5ZnO·5Ag2O] glasses (with NC as negative control and bars as standard error of means).

iability of CCD1137Sk cells after 24 and 48 h interaction with different concentration of xRb2O·(100-x)[44P2O5·25CaO·21Na2O·5ZnO·5Ag2O] glasses (with NC as negative control and bars as standard error of means).