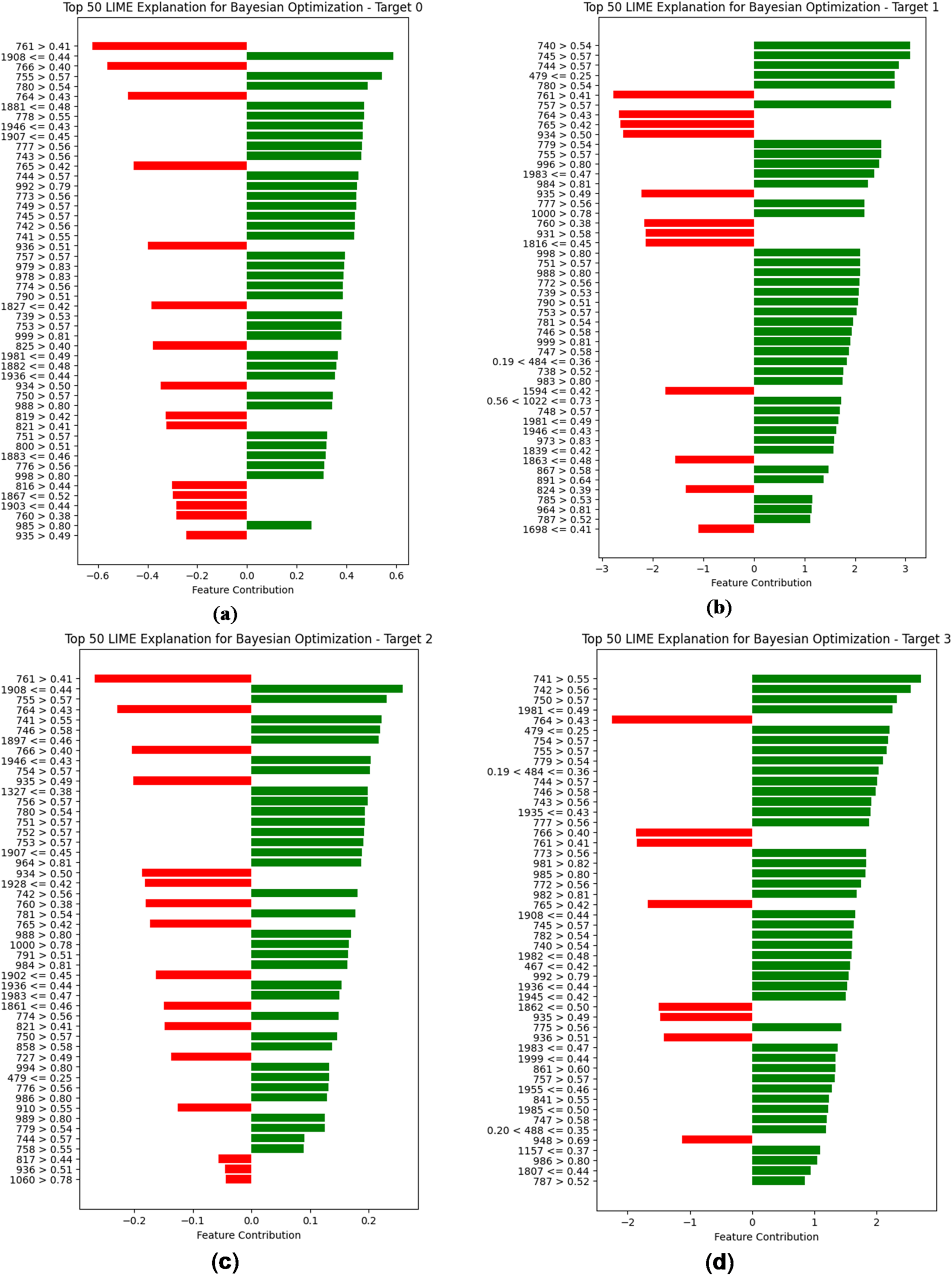
Fig. 12


(a) LIME interpretation of the Bayesian Optimized Neural Network architecture for prediction of BOD. (b) LIME interpretation of the Bayesian Optimized Neural Network architecture for prediction of COD. (c) LIME interpretation of the Bayesian Optimized Neural Network architecture for prediction of NH3-N. (d) LIME interpretation of the Bayesian Optimized Neural Network architecture for prediction of TDS. (e) LIME interpretation of the Bayesian Optimized Neural Network architecture for prediction of TA. (f) LIME interpretation of the Bayesian Optimized Neural Network architecture for prediction of TH.