Fig. 3
From: An improved greedy equivalent search method based on relative entropy

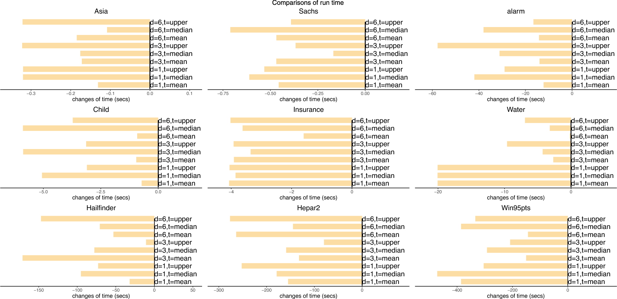
Comparisons of PPGES and GES in terms of running time.
From: An improved greedy equivalent search method based on relative entropy

Comparisons of PPGES and GES in terms of running time.