Fig. 5
From: Age estimation of children and adolescents from mandibles using machine learning

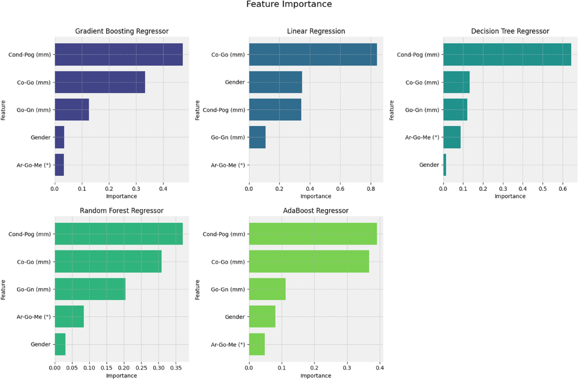
Feature importance ranking across different machine learning models.
From: Age estimation of children and adolescents from mandibles using machine learning

Feature importance ranking across different machine learning models.