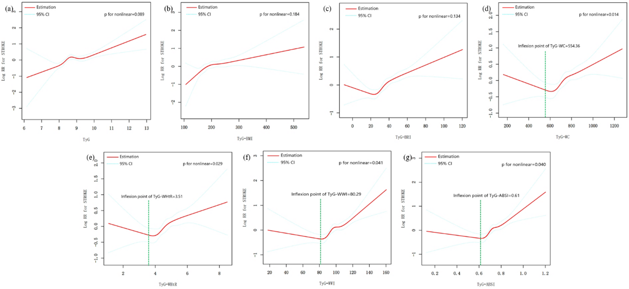
Fig. 2

Generalized additive models reveal how TyG and the combined indices relate to the stroke risk. *Generalized additive models fitting for the associations of TyG-related obesity indices and AIP index with stroke risk. (a) TyG and stroke risk; (b) TyG-BMI and stroke risk; (c) TyG-BRI and stroke risk; (d) TyG-WC and stroke risk; (e) TyG-WHtR and stroke risk; (f) TyG-WWI and stroke risk; (g) TyG-ABSI and stroke risk; Controlled for age, sex, smoking status, alcohol consumption status, HDL-c, LDL-c, CRP, Scr, UA, Cystatin C, HGB, DM, kidney disease, and hypertension. The resulting figures show the predicted log (stroke relative risk) on the y-axis and the TyG and combined indices on the x-axis.