Fig. 11
From: Performance and statistical characteristics of ferronickel slag geopolymer concrete

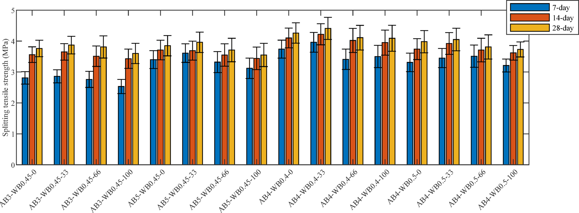
Splitting tensile strength of FNS-GC.
From: Performance and statistical characteristics of ferronickel slag geopolymer concrete

Splitting tensile strength of FNS-GC.