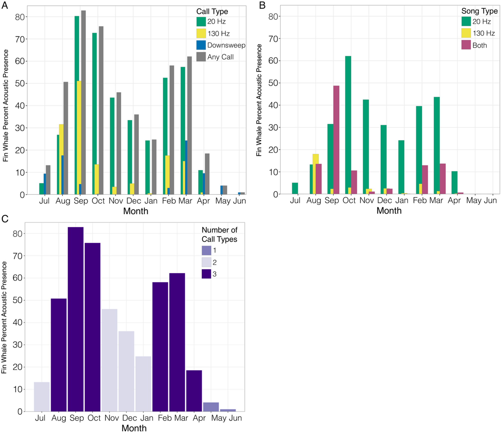
Fig. 2

Monthly fin whale percent acoustic presence for (A) each call type, including 20 Hz calls (green bars), 130 Hz calls (yellow bars), downsweeps (blue bars), and any call type (gray bars); (B) song, including only 20 Hz calls (green bars), only 130 Hz calls (yellow bars), and both 20 Hz and 130 Hz calls in unison (purple bars); and (C) number of different call types present per month. Monthly percent acoustic presence was calculated as the number of hours with calls compared to the number of effort hours per month.