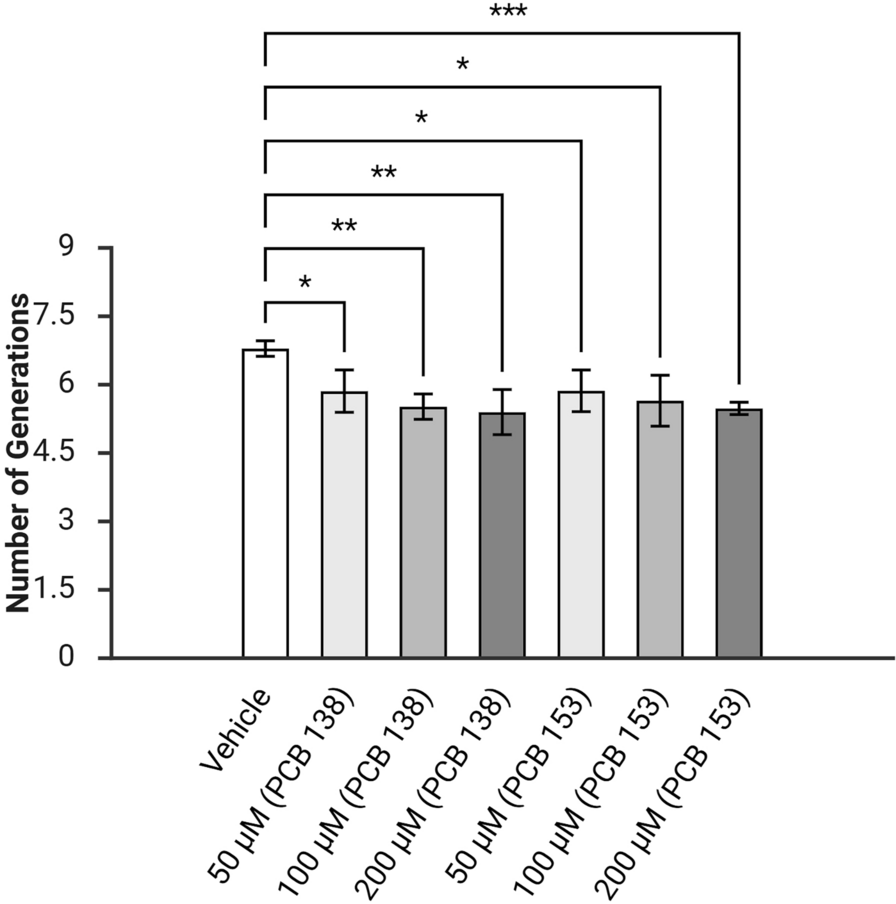
Fig. 1

Dictyostelium growth assay in presence of PCBs. Ax4 cells were grown in presence of PCB 138 or 153 at increasing concentrations (50 µM, 100 µM and 200 µM). The graph shows the number of generations reached on the 3rd day of growth. Data represent ± standard deviation of three independent biological replicates. Statistical significance was assessed using One-way ANOVA with Dunnett’s multiple comparisons test (*p < 0.05, **p < 0.01, *** p < 0.001). This graph was generated with BioRender.