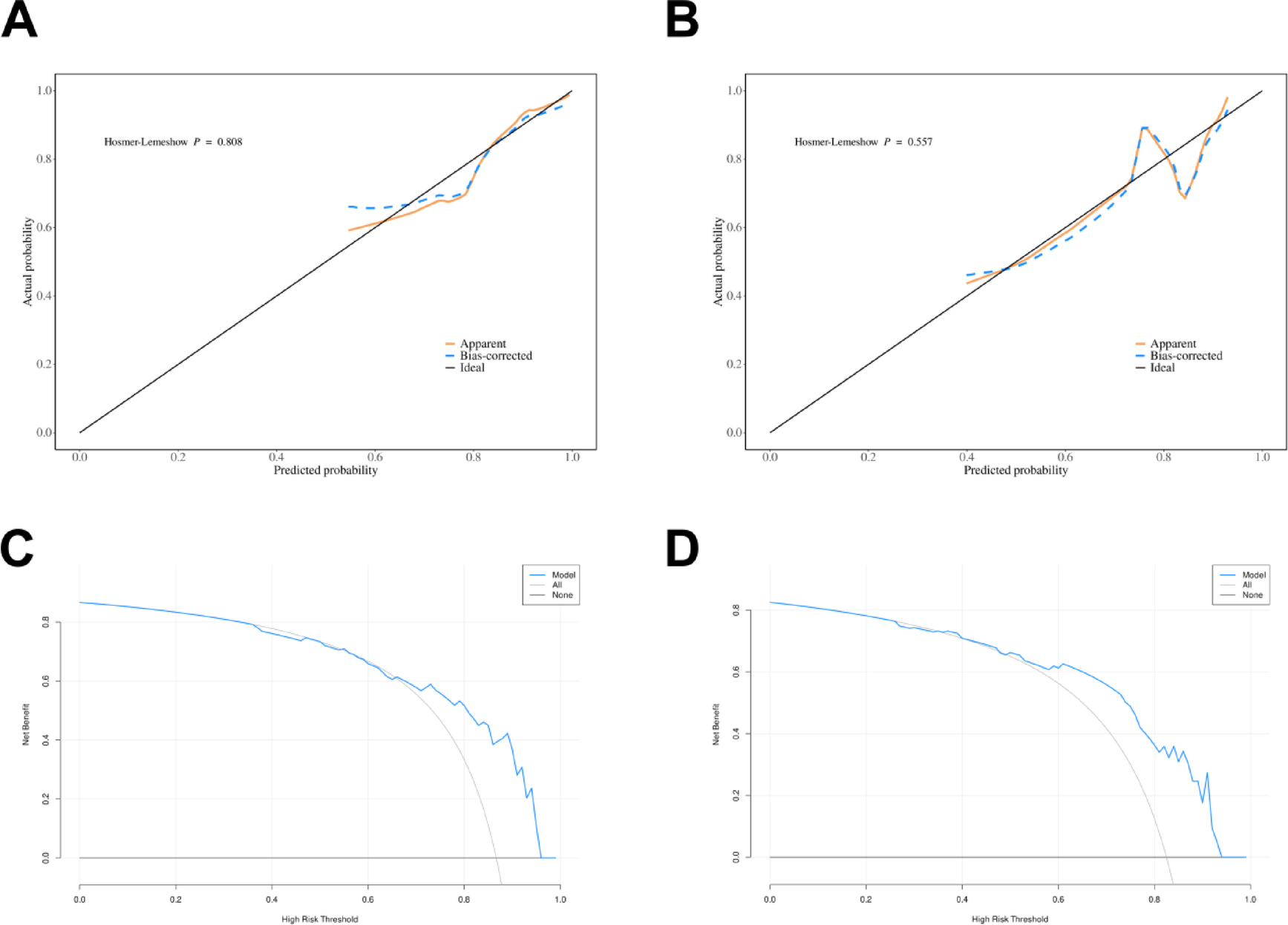
Fig. 7
From: The role of ROSE-enhanced ERCP-guided biopsy in diagnosing biliary stricture

Calibration curves and decision curve analysis (DCA) of the combined predictive model in patients with biliary stricture. A, C: training cohort; B, D: test cohort. (A–B) Calibration plots showing agreement between predicted probability of a correct biopsy diagnosis and observed outcomes; (C–D) DCA curves depicting net benefit across threshold probabilities.