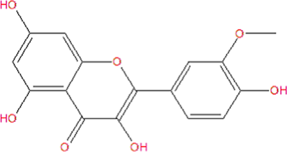
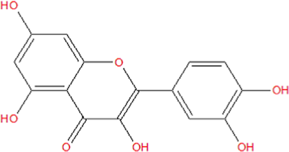
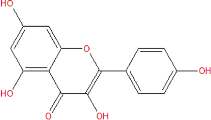
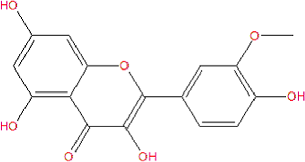
Table 1 Binding energies (Kcal/mol) with 2D structures of top 10 lead compounds, control compound Sunitinib, and Pyrrolopyrimidine.
No | Compounds name | Pubchem ID | 2D structure | Score (Kcal/mol) |
|---|---|---|---|---|
1 | 6-Hydroxyluteolin | 5281642 | − 10.2 | |
2 | Isorhamnetin | 5281654 | − 10.2 | |
3 | Quercetin | 5280343 | − 10.0 | |
4 | Kaempferol | 5280863 | − 10.0 | |
5 | Rhamnazin | 5320945 | − 9.8 | |
6 | beta-Bisabolene | 10104370 | − 9.1 | |
7 | 4,6-Cholestadien-3beta-ol | 14795191 | − 8.9 | |
8 | gamma-Bisabolene, (Z) | 3033866 | − 8.7 | |
9 | Stigmasterol | 5280794 | − 8.6 | |
10 | beta-Apo-13-carotenone | 5363697 | − 8.6 | |
11 | Sunitinib (Control) | 5329102 | − 9.2 | |
12 | Pyrrolopyrimidine inhibitor | Â |
| − 10.2 |











