Fig. 8
From: STAT1 and m6A-mediated IL15RA upregulation promotes metastasis via ZEB1/NF-κΒ axis in ccRCC

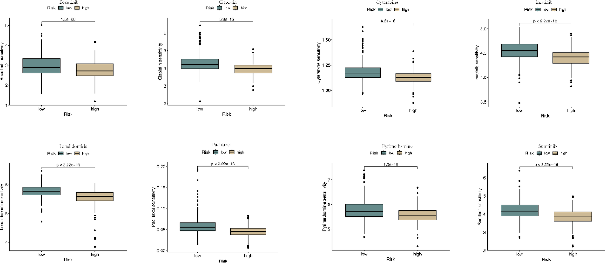
Drug sensitivity analysis of the low-IL15RAand high-IL15RA groups in TCGA-KIRC. The drug sensitivity showed significant differences between the low-IL15RA and high-IL15RA groups for sunitinib, pyrimethamine, cisplatin, bosutinib, imatinib, cytarabine, paclitaxel gefitinib, lenalidomide.