Fig. 4
From: Neuronal allocation and sparse coding of episodic memories in the human hippocampus

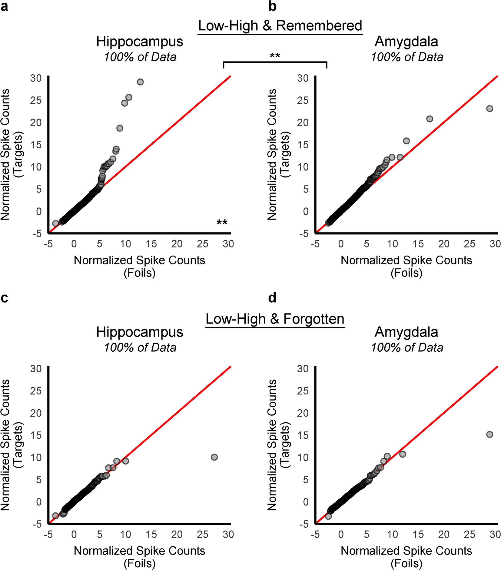
Empirical quantile–quantile (Q–Q) plots of the normalized spike count distributions at retrieval for targets with a relative increase in excitability at encoding as a function of subsequent memory. As in Figs. 1, 2 and 3, the distributions consisted of normalized spike counts from each neuron in response to each retrieval trial, across all patients and sessions. The most theoretically relevant and specific subset of targets associated with a relative increase in excitability during encoding (Low-High: changed from low spiking pre-stimulus onset to high spiking post-stimulus onset during encoding) was further divided into remembered and forgotten categories in the hippocampus (a: Low-High remembered, 41,340; c: Low-High forgotten, 38,447 recordings) and the amygdala (b: Low-High remembered, 56,840; d: Low-High forgotten, 52,673 recordings). In panel (a), a sharp deflection toward the y-axis was evident in the hippocampus for remembered targets that were associated with a relative increase in firing rate at encoding. In contrast, in the amygdala (b), most points fell densely on the diagonal line. Additionally, no other subset of targets split by other levels of spiking at encoding (Low–Low, High–High, High–Low) for remembered or forgotten items showed visual evidence of a difference in skewness compared to foils (Supplementary Fig. S5). The deflection observed in panel (a) disappeared after removing the top 0.25% of data, indicating that relatively few neurons fired strongly in response to remembered targets with a relative increase in firing rate at encoding compared to foil items, and only within the hippocampus (Supplementary Fig. S6). Thus, the difference in skewness associated with the item-specific memory signal was statistically reliable and selective to only the hippocampus, only to targets that were remembered, and only to targets associated with a relative increase in excitability at encoding (B = 10,000, p < 0.0125, two-tailed). **p < 0.01.