Fig. 3

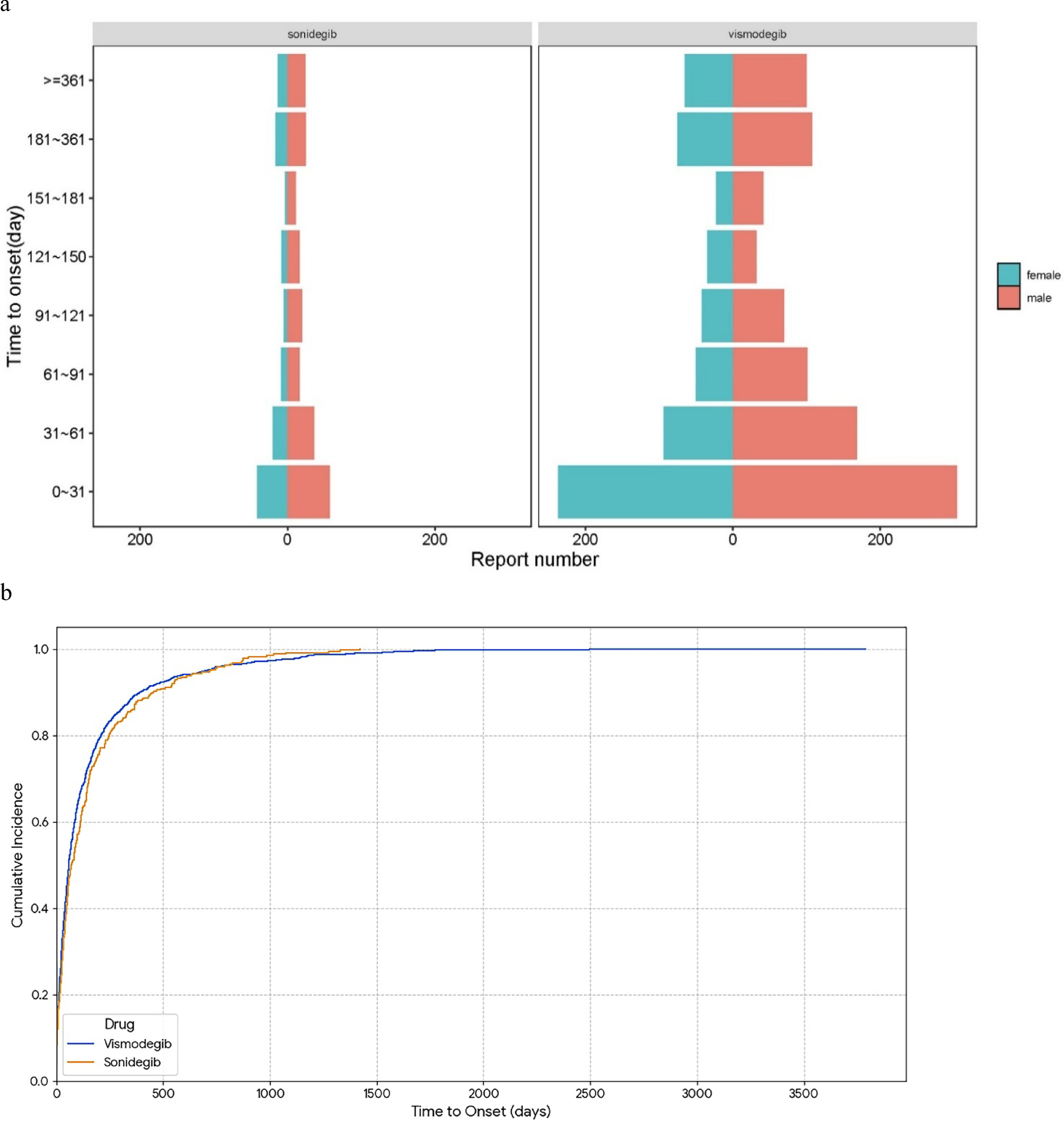
(a) Time-to-onset (TTO) of HPIs-related adverse events (AEs). (b) Cumulative incidence of adverse events related to sonidegib and vismodegib over time.

(a) Time-to-onset (TTO) of HPIs-related adverse events (AEs). (b) Cumulative incidence of adverse events related to sonidegib and vismodegib over time.