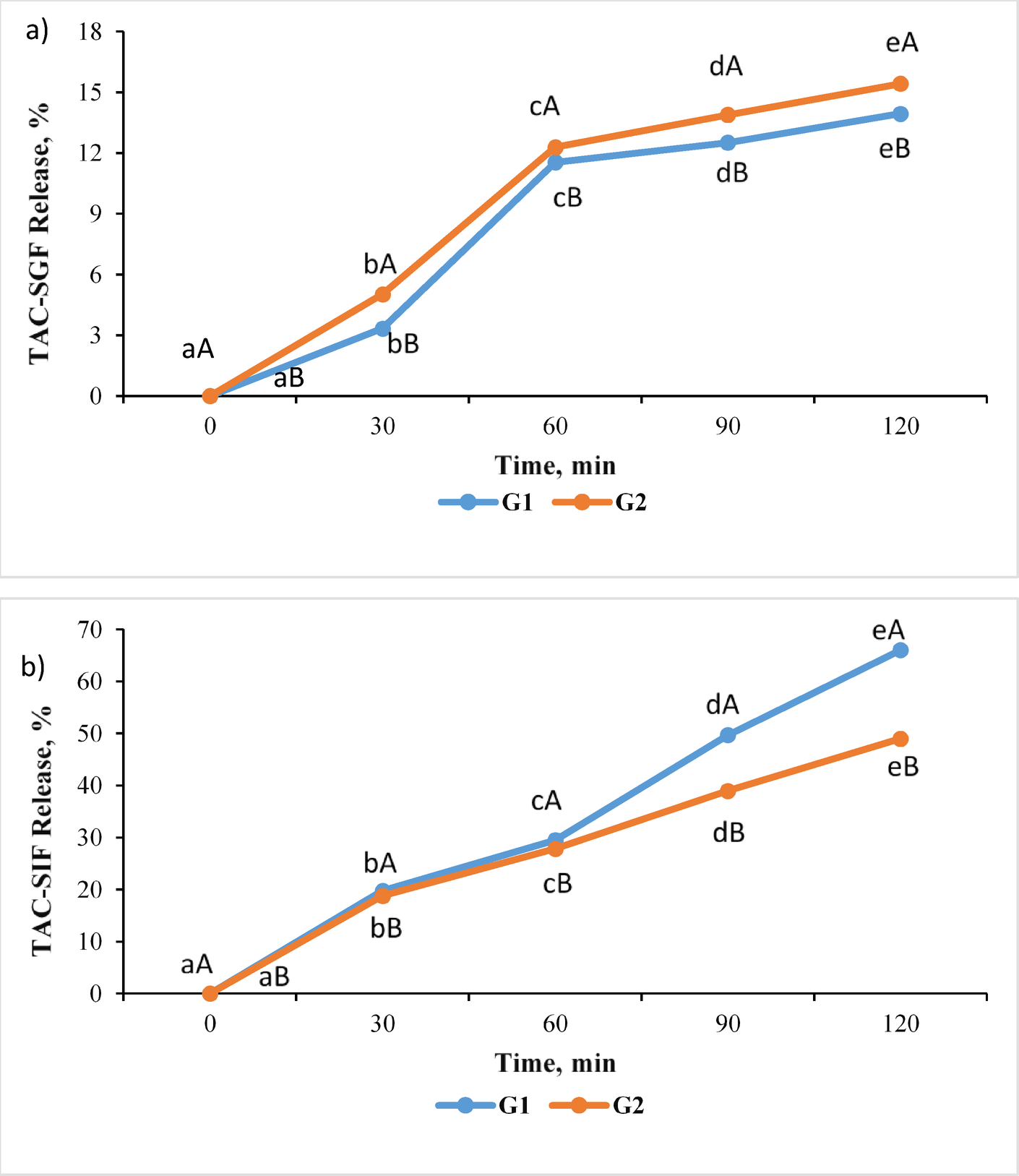
Fig. 1

The release of anthocyanins from the microcapsule powders throughout the simulated in vitro gastric (a) and intestinal (b) digestion (Values with the same color that do not share the same lowercase letter for the same sample and different digestion times are significantly different (p < 0.05). Values with different colors that do not share the same uppercase letter for the same digestion time and different samples are significantly different (p < 0.05). Measurements are expressed as the mean ± standard deviation of three replicates).