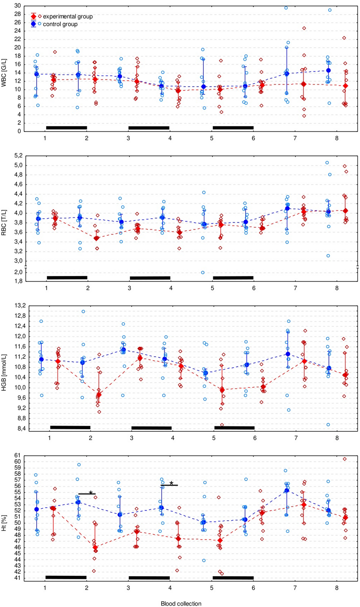
Fig. 3
From: Safety of ribavirin in cockatiels (Nymphicus hollandicus) – a preliminary study

White blood cell count (WBC), red blood cell count (RBC), hemoglobin concentration (HGB), and hematocrit (packed cell volume, Ht) in experimental and control group presented as the median (solid dot or diamond). Asterisks (*) indicate Ht significantly lower in the experimental group than in the control group according to the Tukey’s post-hoc test for equal groups. Black bars indicate periods of ribavirin treatment.