Fig. 4
From: Safety of ribavirin in cockatiels (Nymphicus hollandicus) – a preliminary study

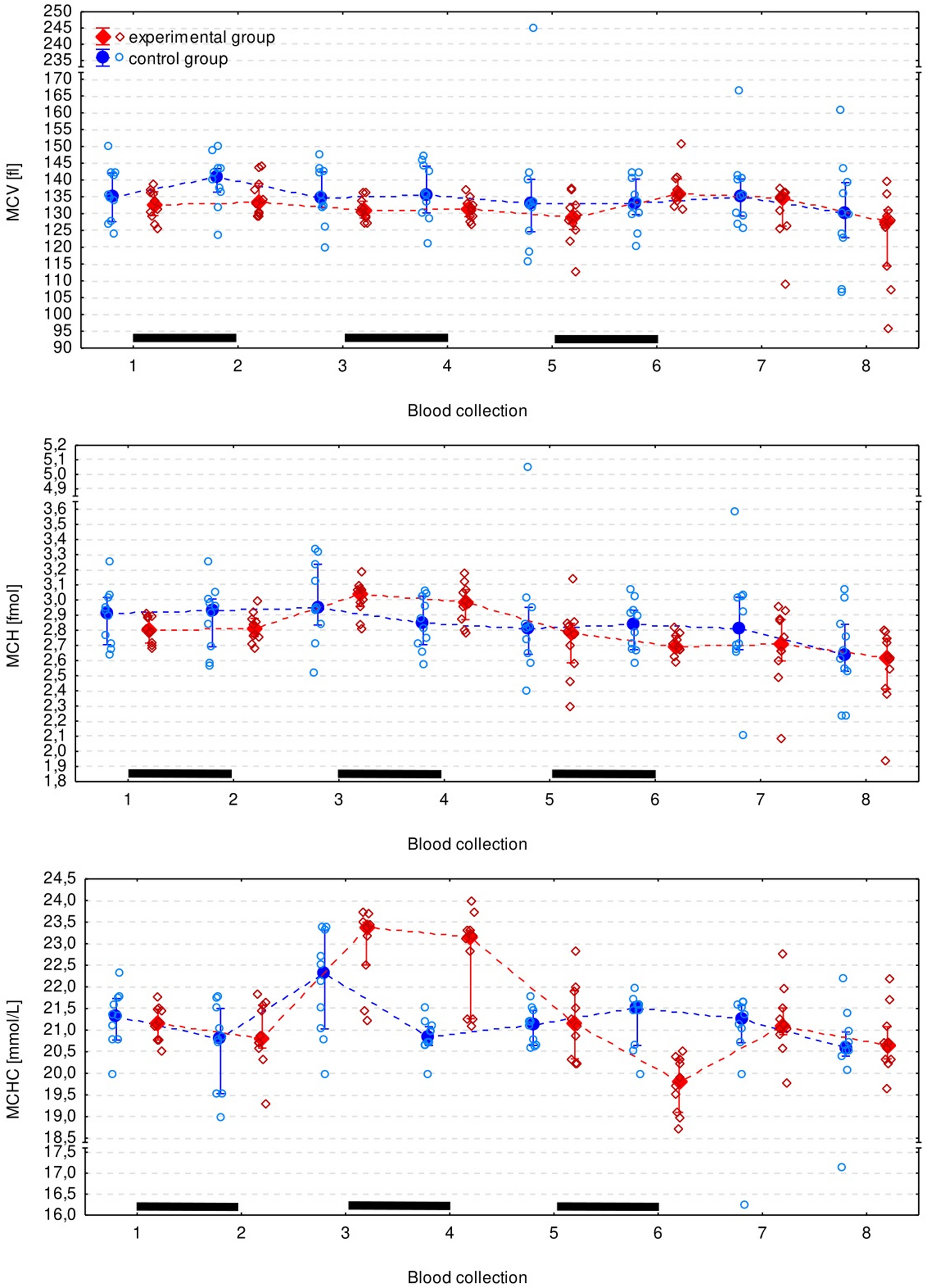
Erythrocyte (red blood cell) parameters in the experimental and control group presented as the median (solid dot or diamond), interquartile range (whiskers), and individual measurements (open dots or diamonds). Black bars indicate periods of ribavirin treatment.