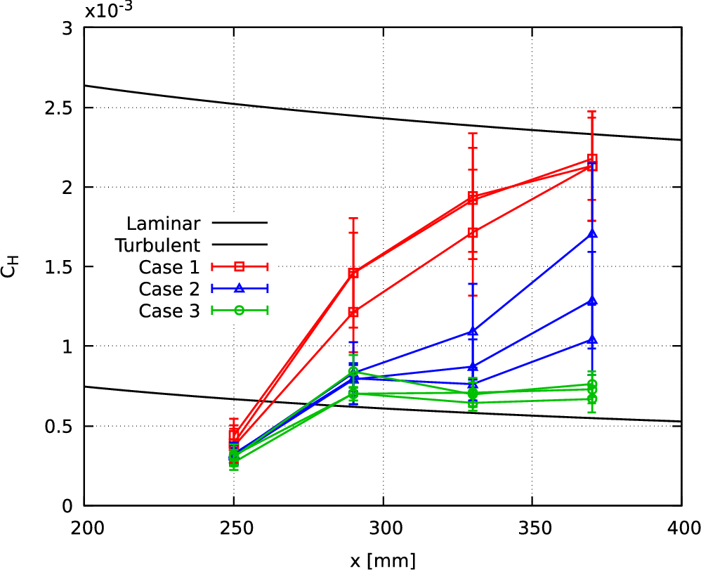
Fig. 8 | Scientific Reports