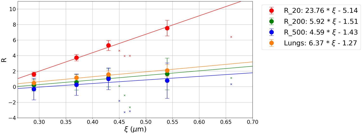
Fig. 8

A scatter plot of the measured R-values (scaled combined visibility normalized by scaled attenuation as per Eq. 6) for the three sizes of PMMA spheres and the porcine lung acquired for the select motor positions with a linear fit to the data for each. The absorption data for the PMMA spheres were adjusted with a factor of 1.77822 to account for the inverse filling of the space. The x-markers are measurements that were excluded from the analysis due to problems with the diffraction orders close to the fringe period (vide infra, Fig. S2) and insufficient visibility (at the highest autocorrelation lengths). The points correspond to the mean values of a region of interest, while the error bars correspond to the standard deviation of the region of interest.