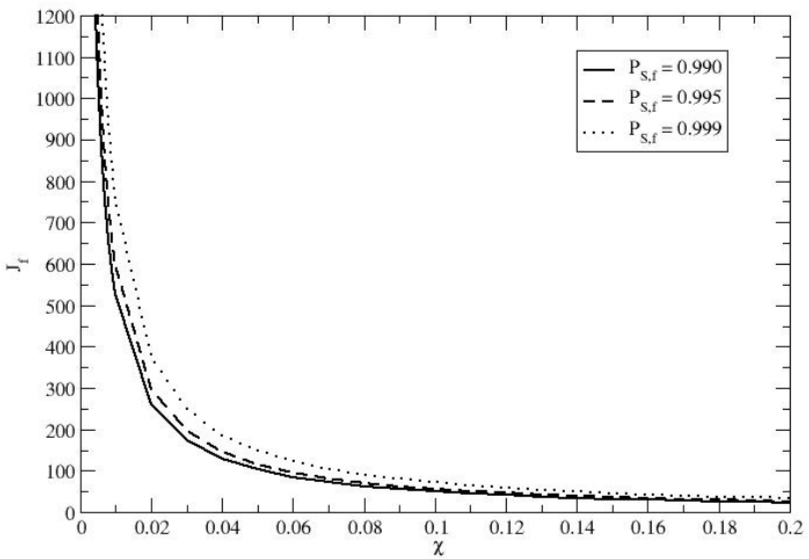
Fig. 4

Total number of immigration cycles \(J_f\) as a function of the fraction of H. sapiens newcomers per cycle \(\chi\), required to achieve three different H. sapiens homozygote equilibrium probabilities within the final expected population (i.e., at the end of the immigration cycles): \(P_{S,f} = 0.990, P_{S,f} = 0.995\) and \(P_{S,f} = 0.999\). The results indicate that even a small, recurrent influx of H. sapiens homozygotes can drive the virtually complete disappearance of the Neanderthal allele.