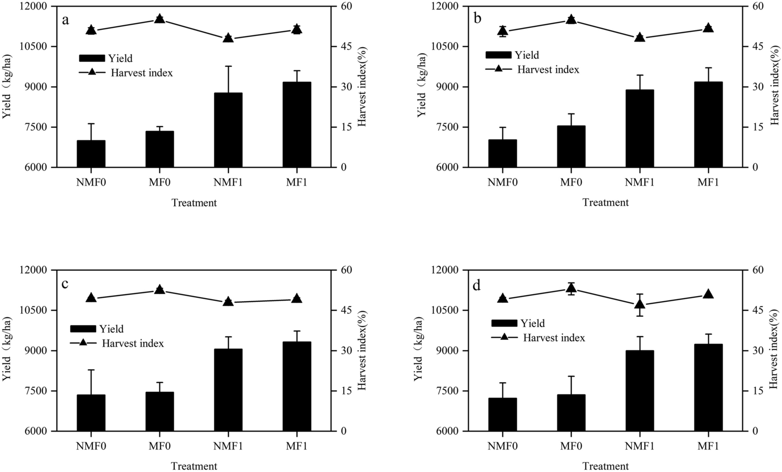
Fig. 5

Effect of different cultivation modes on rice yield and harvest index of Jinongda 738 (a, c) and Jijing 525 (b, d) in 2020(a, b) and 2021(c, d). The mean values of three repetitions ± SE (n = 3) were used. NMF0:no mulching, organic fertilizer; MF0: mulching, organic fertilizer; NMF1: no mulching, chemical fertilizer; MF1: mulching, chemical fertilizer.