Fig. 2
From: Maximizing waste heat recovery from a building-integrated edge data center

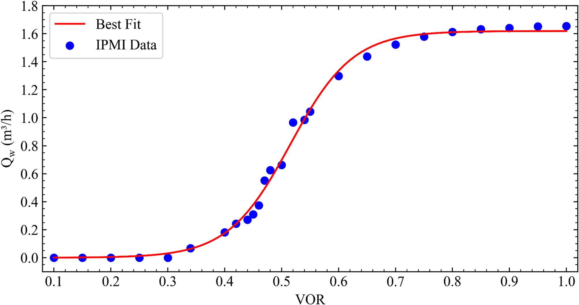
Best fit to the measured water flow rates for various VORs.
From: Maximizing waste heat recovery from a building-integrated edge data center

Best fit to the measured water flow rates for various VORs.