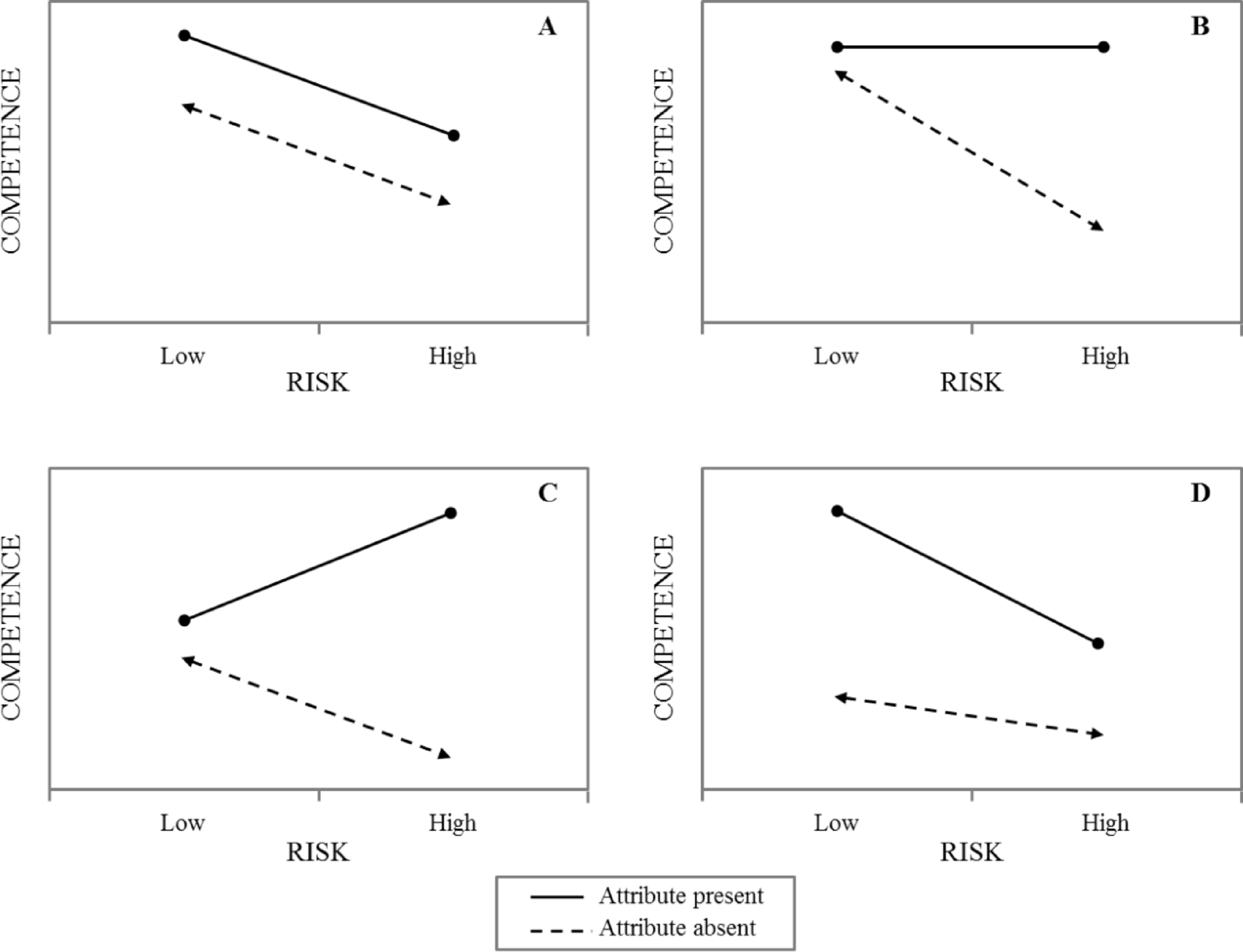
Fig. 1
From: Effects of parental burnout and psychological intrusion on adolescent resilience

Four moderating patterns based on the role of protective factors at different risk levels: (A) protective, (B) protective-stabilizing, (C) protective-enhancing, (D) protective-reactive.