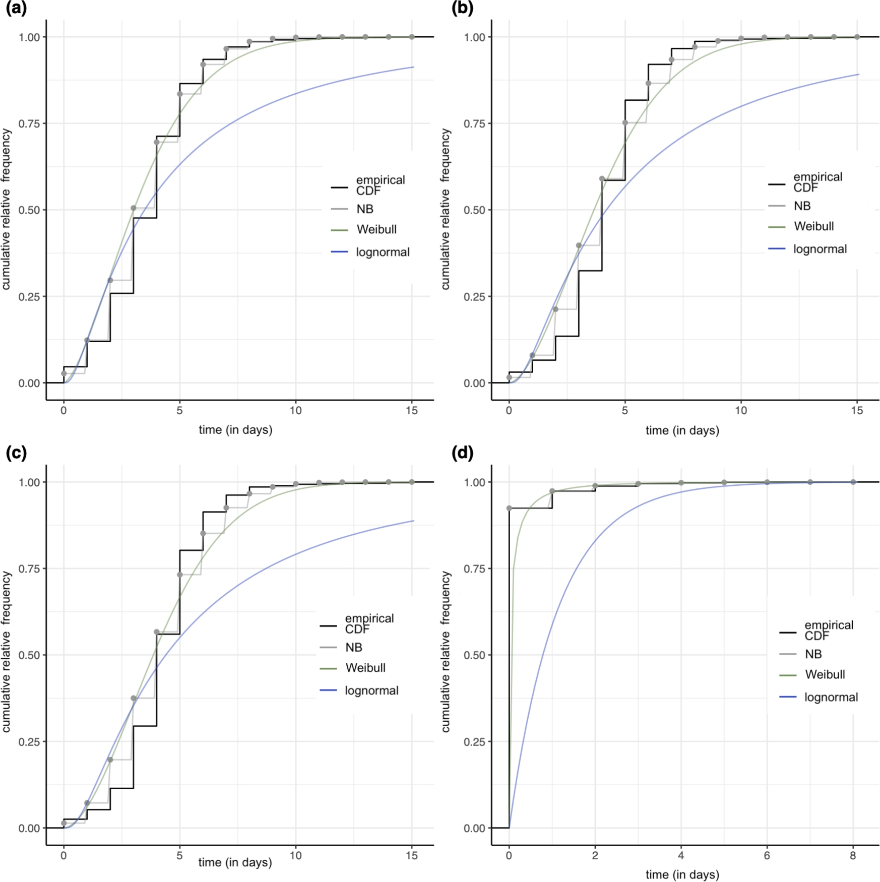
Figure 8

Plots of empirical CDFs for each delay-time with fitted lognormal, NB, and Weibull models, for intervals: (a) onset \(\rightarrow\) consultation; (b) onset \(\rightarrow\) consultation among hospitalized cases; (c) onset \(\rightarrow\) hospitalization; and (d) consultation \(\rightarrow\) hospitalization, with panels (a–c) excluding outpatient cases, based on Colombian DENV data.