Fig. 6

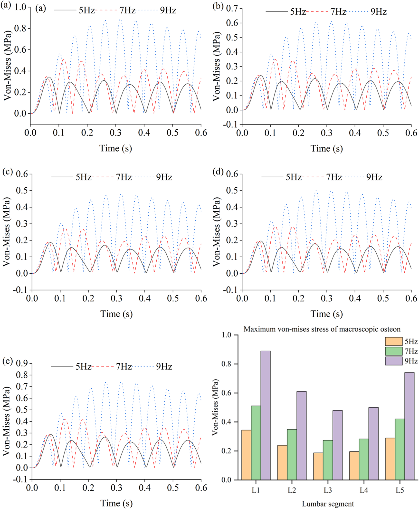
Dynamic Von-Mises stress response in macro osteon; (a) L1 segment osteon, (b) L2 segment osteon, (c) L3 segment osteon, (d) L4 segment osteon, (e) L5 segment osteon.

Dynamic Von-Mises stress response in macro osteon; (a) L1 segment osteon, (b) L2 segment osteon, (c) L3 segment osteon, (d) L4 segment osteon, (e) L5 segment osteon.