Fig. 4
From: Extremely wideband ridge gap waveguide-based 3-dB coupler using supershaped coupling apertures

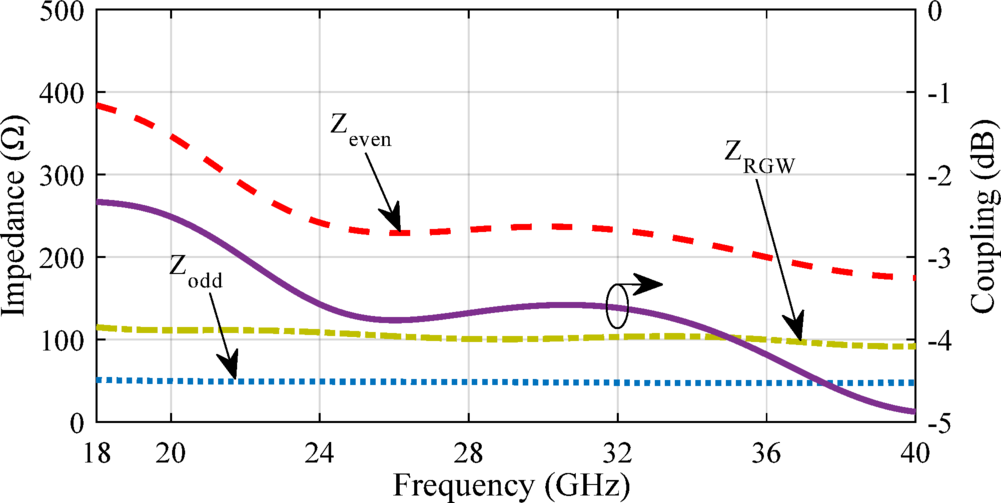
Impedance values for odd and even modes.
From: Extremely wideband ridge gap waveguide-based 3-dB coupler using supershaped coupling apertures

Impedance values for odd and even modes.