Fig. 5
From: Extremely wideband ridge gap waveguide-based 3-dB coupler using supershaped coupling apertures

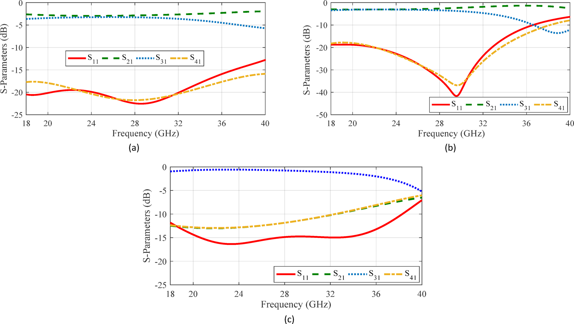
Simulated S-parameters of coupled parallel RGWs with different coupling apertures. (a) Circular shape with a radius of 2.45 mm, ls = 2.70 mm, ws = 1.58 mm and hs = 1.05 mm. (b) Square shape with a side of 4.50 mm, ls = 2.90 mm, ws = 1.38 mm and hs = 1.02 mm. (c) Cross shape with two 14.4 mm × 2.4 mm slots, ls = 3.04 mm, ws = 2.99 mm and hs = 1.12 mm.