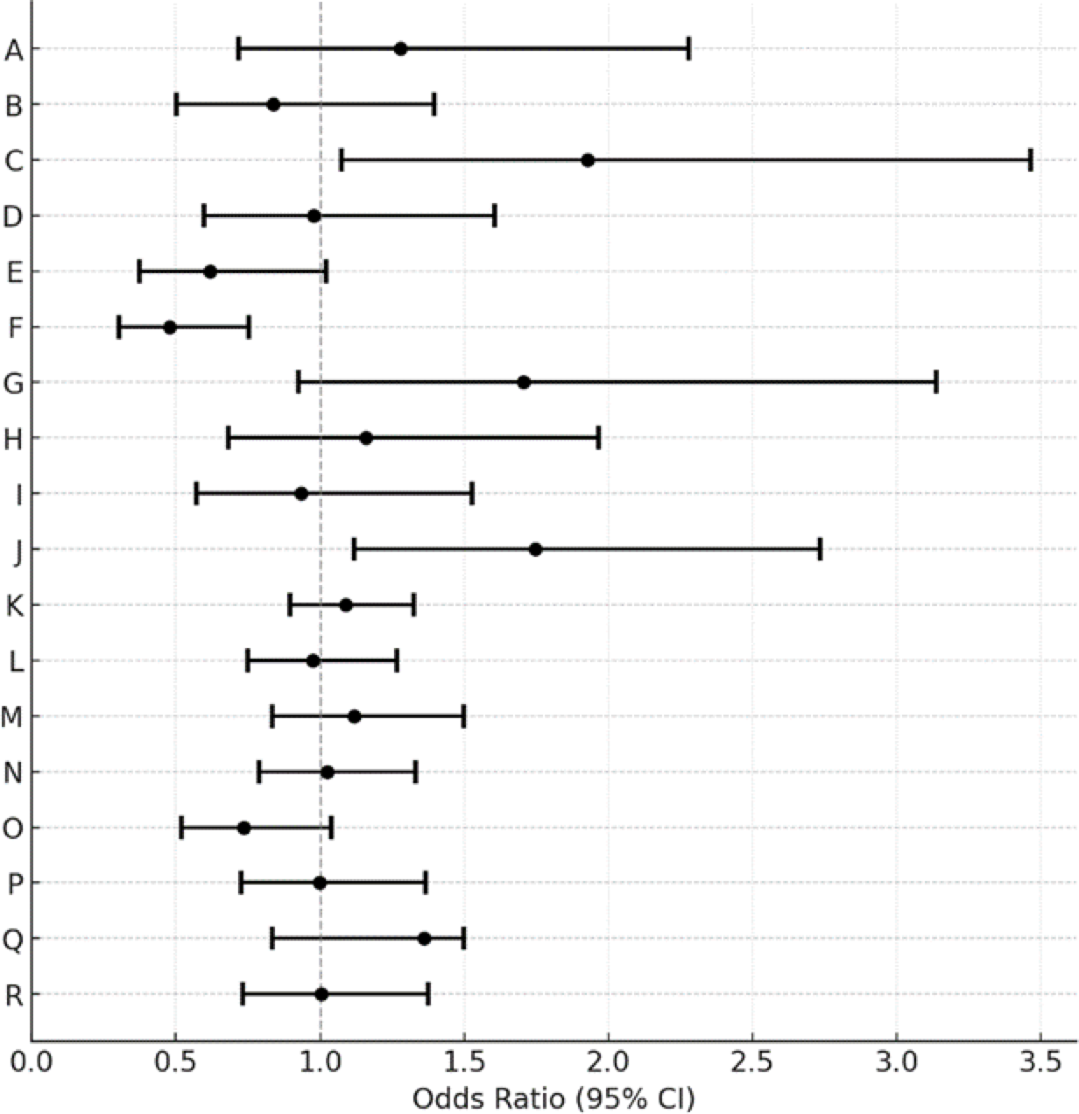
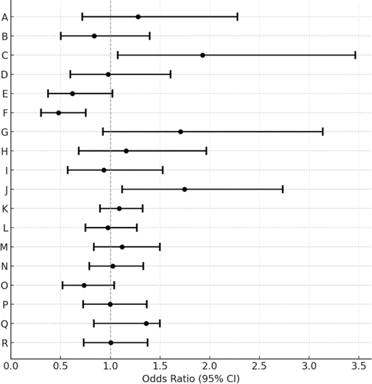
Table 3 Multinomial regression analysis of factors influencing willingness to participate in dengue prevention training programs.
Independent variables | Predictors | Willingness to be trained for dengue prevention | |||
|---|---|---|---|---|---|
p-value | OR | 95% Cl | |||
Area of residence | |||||
Rural vs Urban | A. Maybe vs No | 0.403 | 1.279 | 0.718, 2.278 | |
B. Yes vs No | 0.498 | 0.838 | 0.502, 1.397 | ||
Gender | |||||
Male vs Female | C. Maybe vs No | 0.028 | 1.929 | 1.074, 3.467 | |
D. Yes vs No | 0.932 | 0.979 | 0.597, 1.606 | ||
Age | |||||
< 40 years vs > 40 years | E. Maybe vs No | 0.060 | 0.618 | 0.374, 1.021 | |
F. Yes vs No | 0.001 | 0.478 | 0.304, 0.753 | ||
Duration of living in the area | |||||
> 3 years vs < 3 years | G. Maybe vs No | 0.086 | 1.705 | 0.926, 3.139 | |
H. Yes vs No | 0.585 | 1.159 | 0.683, 1.965 | ||
Type of house | |||||
Terrace vs Others | I. Maybe vs No | 0.787 | 0.934 | 0.571, 1.529 | |
J. Yes vs No | 0.015 | 1.747 | 1.117, 2.734 | ||
Negative perceptions about drone use | |||||
No vs Yes | K. Maybe vs No | 0.387 | 1.090 | 0.897, 1.325 | |
L. Yes vs No | 0.851 | 0.975 | 0.750, 1.268 | ||
Unsure vs Yes | M. Maybe vs No | 0.455 | 1.118 | 0.835, 1.497 | |
N. Yes vs No | 0.851 | 1.025 | 0.789, 1.333 | ||
Concern about drone use | |||||
No vs Yes | O. Maybe vs No | 0.080 | 0.734 | 0.519, 1.038 | |
P. Yes vs No | 0.984 | 0.997 | 0.728, 1.366 | ||
Unsure vs Yes | Q. Maybe vs No | 0.080 | 1.362 | 0.835, 1.497 | |
R. Yes vs No | 0.984 | 1.003 | 0.732, 1.375 | ||
